Loading [MathJax]/extensions/tex2jax.js
Open CASCADE Technology  6.8.0

Technical Overview

Table of Contents

Open CASCADE Technology is an object-oriented C++ class library designed for rapid production of sophisticated domain-specific design applications.

A typical application developed using OCCT deals with two or three-dimensional (2D or 3D) geometric modeling in general-purpose or specialized Computer Aided Design (CAD) systems, manufacturing or analysis applications, simulation applications, or illustration tools.

technical_overview_over.png

OCCT Library is designed to be truly modular and extensible. It provides C++ classes for:

  • Defining data structures (geometric modeling, display and graphic selection)
  • Implementing complex algorithms
  • Providing Application Programming Interfaces (APIs)

The classes are grouped into packages. To prevent any class-name conflicts, C++ class-names are prefixed by a package name. For example, all classes defining 3D geometric objects belong to the Geom package. In Geom, the class implementing Bezier surfaces is called BezierSurface, thus its full name is Geom_BezierSurface.

Packages are then archived into toolkits (libraries), to which you can link your application. Finally, toolkits are grouped into seven modules.

This modular structure is illustrated in the diagram below.

technical_overview_schema.png

Refer to the Technical Overview and User's Guides for details about the services provided in each module.

In addition, Open CASCADE Test Harness, also called Draw, provides testing tools for other modules.

Foundation Classes

Foundation Classes provide a variety of general-purpose services such as:

  • Primitive types, strings and various types of quantities
  • Automated management of heap memory
  • Exception handling
  • Classes for manipulating data collections
  • Math tools such as vectors, matrices and primitive geometric types
  • Basic services for saving data in ASCII files

These services are organized into the following toolkits:

The technical overview provides only a basic description of the libraries. For more details see Foundation Classes User's Guide

See also: our web site at E-learning and Training.

Kernel Classes

Root Classes

Root Classes, primarily implemented in the Standard package, are the predefined classes on which all other Open CASCADE Technology classes are built. They provide:

  • Primitive types such as Boolean, Character, Integer or Real
  • Memory manager based on reference counting for optimizing the allocation and deallocation of large numbers of small C++ objects
  • Standard_Transient class automating memory management through smart pointers
  • OCCT Handle; most of OCCT classes inherit from this base class.
  • Management of exceptions,
  • Encapsulation of C++ streams.

Quantities

Quantity classes provide the following services:

  • Definition of primitive types representing most of mathematical and physical quantities
  • Unit conversion tools.
  • Resources to manage time information such as dates and time periods
  • Resources to manage color definition

A mathematical quantity is characterized by the name and the value (real). A physical quantity is characterized by the name, the value (real) and the unit. The unit may be either an international unit complying with the International Unit System (SI) or a user defined unit. The unit is managed by the physical quantity user.

The fact that both physical and mathematical quantities are manipulated as real values means that :

  • They are defined as aliases of real values, so all functions provided by the Standard_Real class are available on each quantity.
  • It is possible to mix several physical quantities in a mathematical or physical formula involving real values.

Quantity package includes all commonly used basic physical quantities.

Exceptions

Exception classes list all the exceptions, which can be raised by any OCCT function.

Each exception inherits from Standard_Failure either directly or by inheriting from another exception.

Exceptions describe anomalies which can occur during the execution of a method. With the raising of an exception, the normal course of program execution is abandoned. The execution of actions in response to this situation is called the treatment of the exception.

The methods try & catch are redefined in OCCT to work properly on any platform. Nevertheless they call native mechanisms each time it is possible. The only reason not to use native exceptions is that they may not work properly on some compilers. In this case, a specific OCCT code is used instead.

Strings

Strings are classes that handle dynamically sized sequences of characters based on ASCII/Unicode UTF-8 (normal 8-bit character type) and UTF-16/UCS-2 (16-bit character type). They provide editing operations with built-in memory management which make the relative objects easier to use than ordinary character arrays.

String classes provide the following services to manipulate character strings:

  • Editing operations on string objects, using a built-in string manager
  • Handling of dynamically-sized sequences of characters
  • Conversion from/to ASCII and UTF-8 strings.

Strings may also be manipulated by handles and therefore, can be shared.

These classes are implemented in TCollection and NCollection packages.

Collections

Apart from strings, the TCollection package contains classes of dynamically sized aggregates of data. They include a wide range of collections.

  • Arrays (unidimensional and bidimensional) are generally used for quick access to an item. Note that an array is a fixed-sized aggregate.
  • Sequences are ordered collections of non-unique objects. A sequence item is longer to access than an array item: only an exploration in sequence is efficient (but sequences are not adapted for numerous explorations). Arrays and sequences are commonly used as data structures for more complex objects.
  • Maps are dynamic structures, where the size is constantly adapted to the number of inserted items and access to an item is the fastest. Maps structures are commonly used in cases of numerous explorations: they are typically internal data structures for complex algorithms.
  • Lists are similar to sequences but with different algorithms to explore them.
  • Specific iterators for sequences and maps.

Most collections follow value semantics: their instances are the actual collections, not handles to a collection. Only arrays and sequences may also be manipulated by handle, and therefore shared.

Collection classes are generic (C++ template-like), so they can contain a variety of objects which do not necessarily inherit from a unique root class. When you need to use a collection of a given object type, you must instantiate the collection for this specific type. Once the code for this declaration is compiled, all functions available on the generic collection are available on your instantiated class.

Each collection directly used as an argument in Open CASCADE Technology public syntax is instantiated in an OCCT component using the corresponding generic class in package TCollection, by means of compiling the CDL declaration of the instance. Thus OCCT generic classes require compilation of definitions in the CDL language and therefore can only be instantiated in WOK.

If you are not using CDL in your project (CDL compilation under WOK is necessary to instantiate any generic Collection from package TCollection), then you should use the Collections defined in NCollection package. It contains definitions of the same generic collection classes described above, but in a form of C++ templates. Therefore, to instantiate any collection type no additional support is required beyond the ANSI C++ compiler.

Math Utilities

Vectors and Matrices

The Vector and Matrix classes provide commonly used mathematical algorithms which include:

  • Basic calculations involving vectors and matrices;
  • Computation of eigenvalues and eigenvectors of a square matrix;
  • Solvers for a set of linear algebraic equations;
  • Algorithms to find the roots of a set of non-linear equations;
  • Algorithms to find the minimum function of one or more independent variables.

These classes also provide a data structure to represent any expression, relation, or function used in mathematics, including the assignment of variables.

Vectors and matrices have arbitrary ranges which must be defined at declaration time and cannot be changed after declaration.

math_Vector v(1, 3);
// a vector of dimension 3 with range (1..3)
math_Matrix m(0, 2, 0, 2);
// a matrix of dimension 3x3 with range (0..2, 0..2)
math_Vector v(N1, N2);
// a vector of dimension N2-N1+1 with range (N1..N2)

Vector and Matrix objects follow "value semantics", that is, they cannot be shared and are copied though assignment.

math_Vector v1(1, 3), v2(0, 2);
v2 = v1; // v1 is copied into v2
// a modification of v1 does not affect v2

Vector and Matrix elements can be retrieved using indexes, which must be in the range defined upon Vector/Matrix creation. The elements can be initialized with some numerical value upon creation as well.

math_Vector v(1, 3);
math_Matrix m(1, 3, 1, 3);
v(2) = 1.0;
value = v(1);
m(1, 3) = 1.0;
value = m(2, 2);

Some operations on Vector and Matrix objects may not be legal. In this case an exception is raised. Two standard exceptions are used: *Standard_DimensionError exception is raised when two matrices or vectors involved in an operation are of incompatible dimensions. *Standard_RangeErrorexception is raised if an attempt to access outside the range defined upon creation of a vector or a matrix is made.

math_Vector v1(1, 3), v2(1, 2), v3(0, 2);
v1 = v2; // error: Standard_DimensionError is raised
v1 = v3; // OK: ranges are not equal, but dimensions are compatible
v1(0) = 2.0; // error: Standard_RangeError is raised

Fundamental Geometry Types

The Fundamental Geometry Types component groups the following packages:

  • geometric processor package gp;
  • GeomAbs package, which provides enumerations generally used in geometry;

gp package is a STEP-compliant implementation of basic geometric and algebraic entities, used to define and manipulate elementary data structures.

In particular, gp provides:

  • descriptions of primitive geometric shapes, such as:
    • Points;
    • Vectors;
    • Lines;
    • Circles and conics;
    • Planes and elementary surfaces;
  • positioning of these shapes in space or in a plane by means of an axis or a coordinate system;
  • definition and application of geometric transformations to these shapes:
    • Translations;
    • Rotations;
    • Symmetries;
    • Scaling transformations;
    • Composed transformations;
  • Tools (coordinates and matrices) for algebraic computation.

These functions are defined in 3D space and in the plane.

gp curves and surfaces are analytic: there is no parameterization and no orientation on gp entities, i.e. these entities do not provide functions which work with these properties. If you need, you may use more evolved data structures provided by Geom (in 3D space) and Geom2d (in the plane). However, the definition of gp entities is identical to the one of equivalent Geom and Geom2d entities, and they are located in the plane or in space with the same kind of positioning systems. They implicitly contain the orientation, which they express on the Geom and Geom2d entities, and they induce the definition of their parameterization.

Therefore, it is easy to give an implicit parameterization to gp curves and surfaces, which is the parametarization of the equivalent Geom or Geom2d entity. This property is particularly useful when computing projections or intersections, or for operations involving complex algorithms where it is particularly important to manipulate the simplest data structures, i.e. those of gp. Thus, the ElCLib and ElSLib packages provide functions to compute:

  • the point of parameter u on a 2D or 3D gp curve,
  • the point of parameter (u,v) on a gp elementary surface, and
  • any derivative vector at this point.

Note: the gp entities cannot be shared when they are inside more complex data structures.

Common Mathematical Algorithms

Common mathematical algorithms provided in OCCT include:

  • Algorithms to solve a set of linear algebraic equations,
  • Algorithms to find the minimum of a function of one or more independent variables,
  • Algorithms to find roots of one or of a set of non-linear equations,
  • An algorithm to find the eigenvalues and eigenvectors of a square matrix.

Modeling Data

Modeling Data supplies data structures to represent 2D and 3D geometric models.

technical_overview_md.png

These services are organized into the following toolkits:

There are also some packages that help to find local and global Properties of Shapes.

The technical overview provides only a basic description of the libraries. For more details see Modeling Data User's Guide

3D geometric models are stored in OCCT native BREP format. See BREP Format Description White Paper for details on the format.

See also: our web site at E-learning and Training.

2D Geometry Types

Geom2d package provides an implementation of 2D geometric objects, defined in the way similar to STEP standard (ISO 10303, part 42).

In particular, it provides classes for:

  • description of points, vectors and curves,
  • their positioning in the plane using coordinate systems,
  • their geometric transformation, by applying translations, rotations, symmetries, scaling transformations and combinations thereof.

The key characteristic of Geom2d curves is that they are parameterized. Each class provides functions to work with the parametric equation of the curve, and, in particular, to compute the point of parameter u on a curve and the derivative vectors of order 1, 2.., N at this point.

As a consequence of the parameterization, a Geom2d curve is naturally oriented.

Parameterization and orientation differentiate elementary Geom2d curves from their equivalent as provided by gp package. Geom2d package provides conversion functions to transform a Geom2d object into a gp object, and vice-versa, when this is possible.

Moreover, Geom2d package provides more complex curves, including Bezier curves, BSpline curves, trimmed curves and offset curves.

Geom2d objects are organized according to an inheritance structure over several levels.

Thus, an ellipse (specific class Geom2d_Ellipse) is also a conical curve and inherits from the abstract class Geom2d_Conic, while a Bezier curve (concrete class Geom2d_BezierCurve) is also a bounded curve and inherits from the abstract class Geom2d_BoundedCurve; both these examples are also curves (abstract class Geom2d_Curve). Curves, points and vectors inherit from the abstract class Geom2d_Geometry, which describes the properties common to any geometric object from the Geom2d package.

This inheritance structure is open and it is possible to describe new objects, which inherit from those provided in the Geom2d package, provided that they respect the behavior of the classes from which they are to inherit.

Finally, Geom2d objects can be shared within more complex data structures. This is why they are used within topological data structures, for example.

Geom2dpackage uses the services of the gp package to:

  • implement elementary algebraic calculus and basic analytic geometry,
  • describe geometric transformations which can be applied to Geom2d objects,
  • describe the elementary data structures of Geom2d objects.

However, the Geom2d package essentially provides data structures and not algorithms. You can refer to the GCE2d package to find more evolved construction algorithms for Geom2d objects.

3D Geometry Types

The Geom package provides an implementation of 3D geometric objects, defined in the way similar to STEP standard (ISO 10303, part 42).

In particular, it provides classes for:

  • description of points, vectors, curves and surfaces,
    • their positioning in 3D space using axis or coordinate systems, and
    • their geometric transformation, by applying translations, rotations, symmetries, scaling transformations and combinations thereof.

The key characteristic of Geom curves and surfaces is that they are parameterized. Each class provides functions to work with the parametric equation of the curve or surface, and, in particular, to compute:

  • the point of parameter u on a curve, or
  • the point of parameters (u, v) on a surface.

together with the derivative vectors of order 1, 2, ... N at this point.

As a consequence of this parameterization, a Geom curve or surface is naturally oriented.

Parameterization and orientation differentiate elementary Geom curves and surfaces from the classes of the same (or similar) names found in the gp package. The Geom package also provides conversion functions to transform a Geom object into a gp object, and vice-versa, when such transformation is possible.

Moreover, the Geom package provides more complex curves and surfaces, including:

  • Bezier and BSpline curves and surfaces,
  • swept surfaces, for example surfaces of revolution and surfaces of linear extrusion,
  • trimmed curves and surfaces, and
  • offset curves and surfaces.

Geom objects are organized according to an inheritance structure over several levels. Thus, a sphere (concrete class Geom_SphericalSurface) is also an elementary surface and inherits from the abstract class Geom_ElementarySurface, while a Bezier surface (concrete class Geom_BezierSurface) is also a bounded surface and inherits from the abstract class Geom_BoundedSurface; both these examples are also surfaces (abstract class Geom_Surface). Curves, points and vectors inherit from the abstract class Geom_Geometry, which describes the properties common to any geometric object from the Geom package.

This inheritance structure is open and it is possible to describe new objects, which inherit from those provided in the Geom package, on the condition that they respect the behavior of the classes from which they are to inherit.

Finally, Geom objects can be shared within more complex data structures. This is why they are used within topological data structures, for example.

The Geom package uses the services of the gp package to:

  • implement elementary algebraic calculus and basic analytic geometry,
  • describe geometric transformations which can be applied to Geom objects,
  • describe the elementary data structures of Geom objects.

However, the Geom package essentially provides data structures, not algorithms.

You can refer to the GC package to find more evolved construction algorithms for Geom objects.

Adaptors for Curves and Surfaces

Some Open CASCADE Technology general algorithms may work theoretically on numerous types of curves or surfaces. To do this, they simply get the services required of the analysed curve or surface through an interface so as to a single API, whatever the type of curve or surface. These interfaces are called adaptors. For example, Adaptor3d_Curve is the abstract class which provides the required services by an algorithm which uses any 3d curve.

GeomAdaptor package provides interfaces:

  • On a Geom curve;
  • On a curve lying on a Geom surface;
  • On a Geom surface;

Geom2dAdaptor package provides interfaces :

  • On a Geom2d curve.

BRepAdaptor package provides interfaces:

  • On a Face
  • On an Edge

When you write an algorithm which operates on geometric objects, use Adaptor3d (or Adaptor2d) objects.

As a result, you can use the algorithm with any kind of object, if you provide for this object an interface derived from Adaptor3d or Adaptor2d. These interfaces are easy to use: simply create an adapted curve or surface from a Geom2d curve, and then use this adapted curve as an argument for the algorithm which requires it.

Geometry Utilities

This library provides standard high-level functions in 2D and 3D geometry such as:

  • Direct construction of algorithms;
  • Approximation of curves and surfaces from points;
  • Conversion of more elementary geometry to BSpline curves and surfaces;
  • Calculation of points on a 2D or 3D curve;
  • Calculation of extrema between two geometries.

Direct Construction

The gp, Geom2d and Geom packages describe elementary data structures of simple geometric objects. The constructors of these objects are elementary: the construction arguments are fields by which the objects are represented in their data structure.

On the other hand, the gce, GCE2d and GC packages provided by the Direct Construction component construct the same types of objects as gp, Geom2d and Geom respectively. However, the former implement geometric construction algorithms that translate the constructor's arguments into the data structure specific to each object.

Algorithms implemented by these packages are simple: there is no creation of objects defined by advanced positional constraints (for more information on this subject, see Geom2dGcc and GccAna which describe geometry by constraints).

gce, GCE2d and GC each offer a series of classes of construction algorithms.

For example, the class gce_MakeCirc provides a framework for defining eight problems encountered in the geometric construction of circles, and implementing the eight related construction algorithms.

The object created (or implemented) is an algorithm which can be consulted to find out, in particular:

  • its result, which is a gp_Circ, and
  • its status. Here, the status indicates whether or not the construction was successful.

If it was unsuccessful, the status gives the reason for the failure.

gp_Pnt P1 (0.,0.,0.);
gp_Pnt P2 (0.,10.,0.);
gp_Pnt P3 (10.,0.,0.);
gce_MakeCirc MC (P1,P2,P3);
if (MC.IsDone()) {
const gp_Circ& C = MC.Value();
}

In addition, gce, GCE2d and GC each have a Root class. This class is the root of all the classes in the package which return a status. The returned status (successful construction or construction error) is described by the enumeration gce_ErrorType.

Note: classes which construct geometric transformations do not return a status, and therefore do not inherit from Root.

Approximations

Approximation of Curves and Surfaces groups together a variety of functions used in 2D and 3D geometry for:

  • the interpolation of a set of 2D points using a 2D BSpline or Bezier curve;
  • the approximation of a set of 2D points using a 2D BSpline or Bezier curve;
  • the interpolation of a set of 3D points using a 3D BSpline or Bezier curve, or a BSpline surface;
  • the approximation of a set of 3D points using a 3D BSpline or Bezier curve, or a BSpline surface.

You can program approximations in two ways:

  • Using high-level functions, designed to provide a simple method for obtaining approximations with minimal programming,
  • Using low-level functions, designed for users requiring more control over the approximations.

The low-level functions provide a second API with functions to:

  • Define compulsory tangents for an approximation. These tangents have origins and extremities.
  • Approximate a set of curves in parallel to respect identical parameterization.
  • Smooth approximations. This is to produce a faired curve.

The classes AppDef_MultiPointConstraints and AppDef_MultiLines allow organizing the data. The classes AppDef_Compute, AppDef_BSplineCompute and AppDef_TheVariational classes perform the approximation itself using Bezier curves, BSpline curves, and smooth BSpline curves, respectively.

You can also find functions to compute:

  • The minimal box which includes a set of points
  • The mean plane, line or point of a set of coplanar, collinear or coincident points.

Example: How to approximate a curve with respect to tangencies

To approximate a curve with respect to tangencies, follow these steps:

  1. Create an object of type AppDef_MultiPointConstraints from the set of points to approximate and use the method SetTang to set the tangency vectors.
  2. Create an object of type AppDef_MultiLine from the AppDef_MultiPointConstraint.
  3. Use AppDef_BSplineCompute, which instantiates Approx_BSplineComputeLine to perform the approximation.

Conversion to and from BSplines

The Conversion to and from BSplines component has two distinct purposes:

  • Firstly, it provides a homogeneous formulation which can be used to describe any curve or surface. This is useful for writing algorithms for a single data structure model. The BSpline formulation can be used to represent most basic geometric objects provided by the components which describe geometric data structures ("Fundamental Geometry Types", "2D Geometry Types" and "3D Geometry Types" components).
  • Secondly, it can be used to divide a BSpline curve or surface into a series of curves or surfaces, thereby providing a higher degree of continuity. This is useful for writing algorithms which require a specific degree of continuity in the objects to which they are applied. Discontinuities are situated on the boundaries of objects only.

The "Conversion to and from BSplines" component is composed of three packages.

The Convert package provides algorithms to convert the following into a BSpline curve or surface:

  • a bounded curve based on an elementary 2D curve (line, circle or conic) from the gp package,
  • a bounded surface based on an elementary surface (cylinder, cone, sphere or torus) from the gp package,
  • a series of adjacent 2D or 3D Bezier curves defined by their poles.

These algorithms compute the data needed to define the resulting BSpline curve or surface. This elementary data (degrees, periodic characteristics, poles and weights, knots and multiplicities) may then be used directly in an algorithm, or can be used to construct the curve or the surface by calling the appropriate constructor provided by the classes Geom2d_BSplineCurve, Geom_BSplineCurve or Geom_BSplineSurface.

The Geom2dConvert package provides the following:

  • a global function which is used to construct a BSpline curve from a bounded curve based on a 2D curve from the Geom2d package,
  • a splitting algorithm which computes the points at which a 2D BSpline curve should be cut in order to obtain arcs with the same degree of continuity,
  • global functions used to construct the BSpline curves created by this splitting algorithm, or by other types of segmentation of the BSpline curve,
  • an algorithm which converts a 2D BSpline curve into a series of adjacent Bezier curves.

The GeomConvert package also provides the following:

  • a global function used to construct a BSpline curve from a bounded curve based on a curve from the Geom package,
  • a splitting algorithm, which computes the points at which a BSpline curve should be cut in order to obtain arcs with the same degree of continuity,
  • global functions to construct BSpline curves created by this splitting algorithm, or by other types of BSpline curve segmentation,
  • an algorithm, which converts a BSpline curve into a series of adjacent Bezier curves,
  • a global function to construct a BSpline surface from a bounded surface based on a surface from the Geom package,
  • a splitting algorithm, which determines the curves along which a BSpline surface should be cut in order to obtain patches with the same degree of continuity,
  • global functions to construct BSpline surfaces created by this splitting algorithm, or by other types of BSpline surface segmentation,
  • an algorithm, which converts a BSpline surface into a series of adjacent Bezier surfaces,
  • an algorithm, which converts a grid of adjacent Bezier surfaces into a BSpline surface.

Calculation of Points on Curves

The Making Points on Curves component comprises high level functions providing an Application Programming Interface for complex algorithms that compute points on a 2D or 3D curve. The functions use various methods.

The algorithms result in the following:

  • a point on a curve, situated at a given curvilinear distance from another point on the curve
  • a distribution of points situated at constant curvilinear intervals along a curve
  • a distribution of points at a constant rise (i.e. respecting a criterion of maximum rise between the curve and the polygon that results from the computed points) along a curve
  • the length of a curve.

Topology

Topological library allows you to build pure topological data structures..

Topology defines relationships between simple geometric entities. In this way, you can model complex shapes as assemblies of simpler entities. Due to a built-in non-manifold (or mixed-dimensional) feature, you can build models mixing:

  • 0D entities such as points;
  • 1D entities such as curves;
  • 2D entities such as surfaces;
  • 3D entities such as volumes.

You can, for example, represent a single object made of several distinct bodies containing embedded curves and surfaces connected or non-connected to an outer boundary.

Abstract topological data structure describes a basic entity - a shape, which can be divided into the following component topologies:

  • Vertex - a zero-dimensional shape corresponding to a point in geometry;
  • Edge - a shape corresponding to a curve, and bound by a vertex at each extremity;
  • Wire - a sequence of edges connected by their vertices;
  • Face - part of a plane (in 2D geometry) or a surface (in 3D geometry) bounded by a closed wire;
  • Shell - a collection of faces connected by some edges of their wire boundaries;
  • Solid - a part of 3D space bound by a shell;
  • Compound solid - a collection of solids.

The wire and the solid can be either infinite or closed.

A face with 3D underlying geometry may also refer to a collection of connected triangles that approximate the underlying surface. The surfaces can be undefined leaving the faces represented by triangles only. If so, the model is purely polyhedral.

Topology defines the relationship between simple geometric entities, which can thus be linked together to represent complex shapes.

Abstract Topology is provided by six packages. The first three packages describe the topological data structure used in Open CASCADE Technology:

  • TopAbs package provides general resources for topology-driven applications. It contains enumerations that are used to describe basic topological notions: topological shape, orientation and state. It also provides methods to manage these enumerations.
  • TopLoc package provides resources to handle 3D local coordinate systems: Datum3Dand Location. Datum3D describes an elementary coordinate system, while Location comprises a series of elementary coordinate systems.
  • TopoDS package describes classes to model and build data structures that are purely topological.

Three additional packages provide tools to access and manipulate this abstract topology:

  • TopTools package provides basic tools to use on topological data structures.
  • TopExp package provides classes to explore and manipulate the topological data structures described in the TopoDS package.
  • BRepTools package provides classes to explore, manipulate, read and write BRep data structures. These more complex data structures combine topological descriptions with additional geometric information, and include rules for evaluating equivalence of different possible representations of the same object, for example, a point.

Properties of Shapes

Local Properties of Shapes

BRepLProp package provides the Local Properties of Shapes component, which contains algorithms computing various local properties on edges and faces in a BRep model.

The local properties which may be queried are:

  • for a point of parameter u on a curve which supports an edge :
    • the point,
    • the derivative vectors, up to the third degree,
    • the tangent vector,
    • the normal,
    • the curvature, and the center of curvature;
  • for a point of parameter (u, v) on a surface which supports a face :
    • the point,
    • the derivative vectors, up to the second degree,
    • the tangent vectors to the u and v isoparametric curves,
    • the normal vector,
    • the minimum or maximum curvature, and the corresponding directions of curvature;
  • the degree of continuity of a curve which supports an edge, built by the concatenation of two other edges, at their junction point.

Analyzed edges and faces are described as BRepAdaptor curves and surfaces, which provide shapes with an interface for the description of their geometric support. The base point for local properties is defined by its u parameter value on a curve, or its (u, v) parameter values on a surface.

Local Properties of Curves and Surfaces

The "Local Properties of Curves and Surfaces" component provides algorithms for computing various local properties on a Geom curve (in 2D or 3D space) or a surface. It is composed of:

  • Geom2dLProp package, which allows computing Derivative and Tangent vectors (normal and curvature) of a parametric point on a 2D curve;
  • GeomLProp package, which provides local properties on 3D curves and surfaces
  • LProp package, which provides an enumeration used to characterize a particular point on a 2D curve.

Curves are either Geom_Curve curves (in 3D space) or Geom2d_Curve curves (in the plane). Surfaces are Geom_Surface surfaces. The point on which local properties are calculated is defined by its u parameter value on a curve, and its (u,v) parameter values on a surface.

It is possible to query the same local properties for points as mentioned above, and additionally for 2D curves:

  • the points corresponding to a minimum or a maximum of curvature;
  • the inflection points.

Example: How to check the surface concavity

To check the concavity of a surface, proceed as follows:

  1. Sample the surface and compute at each point the Gaussian curvature.
  2. If the value of the curvature changes of sign, the surface is concave or convex depending on the point of view.
  3. To compute a Gaussian curvature, use the class SLprops from GeomLProp, which instantiates the generic class SLProps from LProp and use the method GaussianCurvature.

Global Properties of Shapes

The Global Properties of Shapes component provides algorithms for computing the global properties of a composite geometric system in 3D space, and frameworks to query the computed results.

The global properties computed for a system are :

  • mass,
  • mass center,
  • matrix of inertia,
  • moment about an axis,
  • radius of gyration about an axis,
  • principal properties of inertia such as principal axis, principal moments, and principal radius of gyration.

Geometric systems are generally defined as shapes. Depending on the way they are analyzed, these shapes will give properties of:

  • lines induced from the edges of the shape,
  • surfaces induced from the faces of the shape, or
  • volumes induced from the solid bounded by the shape.

The global properties of several systems may be brought together to give the global properties of the system composed of the sum of all individual systems.

The Global Properties of Shapes component is composed of:

  • seven functions for computing global properties of a shape: one function for lines, two functions for surfaces and four functions for volumes. The choice of functions depends on input parameters and algorithms used for computation (BRepGProp global functions),
  • a framework for computing global properties for a set of points (GProp_PGProps),
  • and a general framework to bring together the global properties retained by several more elementary frameworks, and provide a general programming interface to consult computed global properties.

Examples

How to compute the curve length

To compute curve length, use the method AbscissaPoint::Length from GCPnts.

This function is used only for initializing a framework to compute the length of a curve (or a series of curves).

The adapted curves are:

  • Adaptor_Curve2d for 2D curves
  • Adaptor_Curve for 3D curves.

The adapted curve is created in the following way:

In 2D:

Handle(Geom2d_Curve) mycurve = ... ;
Geom2dAdaptor_Curve C (mycurve) ;

In 3D:

Handle(Geom_Curve) mycurve = ... ;
GeomAdaptor_Curve C (mycurve) ;

The length of the curve is then computed using this curve object:

Standard_Real L = myAlgo.Length( C ) ;

How to extract the underlying geometry from shapes

To extract the underlying geometry from a Shape, use the following methods:

Some of these methods have a location as argument.

For example, when you use S1 = BRep_Tool::Surface(F,L), you then get the surface stored in TShape.

To use this surface in the same position as the face, you have to apply a transformation to it corresponding to the location of the face as follows:

gp_Trsf T(L) ;
S2 = S1->Moved(T) ;

The same method used without location as argument is S3 = BRep_Tool : : Surface(F) returns a Surface in position, according to the location. S3 and S2 are geometrically equivalent surfaces.

Warning: with the first method, you get a pointer on the surface stored in the shape. Do not modify the surface because you will modify the shape and may produce an inconsistent model. With the second method, you get a copy of the surface on which the location has been applied. Note: you can use also a topological object directly just as if it were a geometric one by using the services of BRepAdaptor classes.

How to get the coordinates of a vertex

To recover the UV coordinates of vertices, use BRep_Tool::Parameters const TopoDS_Vertex& V,const TopoDS_Face& F), which returns the U and V parameters of the vertex V on the face F as a gp_Pnt2d.

How to explore a Wire

To explore the edges of a wire in a contiguous order, use BrepTools_WireExplorer class.

TopoDS_Wire myWire =&ldots;.
BRepTools_WireExplorer Ex;
for (Ex.Init(myWire); Ex.More(); Ex.Next()) {
TopoDS_Edge currentedge = Ex.Current();
// Process current edge
}

How to merge bspline curves

To merge joined bspline curves use the following methods:

const TColStd_Array1OfReal& ArrayOfToler,
Handle(TColGeom_HArray1OfBSplineCurve) & ArrayOfConcatenated,
const Standard_Boolean ClosedG1Flag,
const Standard_Real ClosedTolerance)

This method concatenates according to G1 (tangency continuity along the curve) the ArrayOfCurves as far as possible. The following arguments are used:

  • ArrayOfCurves must have dimension bounds [0, N-1], N * number of curves to be merged.
  • ArrayOfToler contains the biggest tolerance of the two points shared by two consecutive curves. Its dimension is: [0, N-2].
  • ArrayOfConcatenated contains results of operation: one or more, when impossible to merge all curves from ArrayOfCurves into one, new bspline curves are created.
  • ClosedG1Flag indicates if the ArrayOfCurves is closed or not.
  • If ClosedG1Flag = Standard_True, ClosedTolerance contains the biggest tolerance of the two points which are at the closure, otherwise its value is 0.0.
const TColStd_Array1OfReal& ArrayOfToler,
Handle(TColGeom_HArray1OfBSplineCurve)& ArrayOfConcatenated,
const Standard_Boolean ClosedG1Flag,
const Standard_Real ClosedTolerance,
const Standard_Real AngularTolerance)

This method concatenates according to C1 (first derivative continuity along the curve) the ArrayOfCurves as far possible. The following arguments are used (additionally to the mentioned above):

  • ArrayOfIndices contains indices that define curves from ArrayOfCurves which are beginning curves for each group of curves merged into a new curve.
  • AngularTolerance is used to check the continuity of tangencies.
const TColStd_Array1OfReal& ArrayOfToler,
Handle(TColGeom_HArray1OfBSplineCurve)& ArrayOfConcatenated,
const Standard_Boolean ClosedG1Flag,
const Standard_Real ClosedTolerance)

This method is the same as the previous one, except for that AngularTolerance = Precision::Angular()

It is also possible to use class GeomConvert_CompCurveToBSplineCurve. This class provides methods to concatenate several restricted curves to a bspline curve. Non-bspline curves are converted to bspline before concatenation.

Constructor:

Parameterization defines the ways of conversion in bspline (by default Convert_TgtThetaOver2).

The method to add a new curve is:

It returns False if the curve is not C0 with the BSplineCurve.

Tolerance is used to check the continuity and decrease the Multiplicity at the common Knot until MinM . If MinM = 0 , the common Knot can be removed.

The parameter after defines the place for a new curve when it is possible to put the new curve before or after the BasisCurve (in fact, it is case when concatenated curve can be closed). It does not change the shape of the curve, but defines its first and last points.

If WithRatio = Standard_True the algorithm tries to reach C1 continuity.

The method to get a result is Handle(Geom_BSplineCurve) GeomConvert_CompCurveToBSplineCurve::BSplineCurve() const

Modeling Algorithms

Modeling Algorithms module groups a wide range of topological algorithms used in modeling and geometric algorithms, called by them.

technical_overview_ma.png

These services are organized into the following libraries:

The technical overview provides only a basic description of the libraries. For more details see Modeling Algorithms User's Guide.

See also: our web site at E-learning and Training.

Geometric Tools

This library provides algorithms to:

  • Calculate the intersection of two 2D curves, surfaces, or a 3D curve and a surface;
  • Project points onto 2D and 3D curves, points onto surfaces, and 3D curves onto surfaces;
  • Construct lines and circles from constraints;
  • Construct curves and surfaces from constraints;
  • Construct curves and surfaces by interpolation.

OPEN CASCADE company also provides a product known as Surfaces from Scattered Points, which allows constructing surfaces from scattered points. This algorithm accepts or constructs an initial B-Spline surface and looks for its deformation (finite elements method) which would satisfy the constraints. Using optimized computation methods, this algorithm is able to construct a surface from more than 500 000 points.

SSP product is not supplied with Open CASCADE Technology, but can be purchased separately.

Intersections

The Intersections component is used to compute intersections between 2D or 3D geometrical objects:

  • the intersections between two 2D curves
  • the self-intersections of a 2D curve
  • the intersection between a 3D curve and a surface
  • the intersection between two surfaces.

Projections

The Projections component provides functionality for 2D and 3D geometry objects for computing the following:

  • the projections of a 2D point onto a 2D curve
  • the projections of a 3D point onto a 3D curve or surface
  • the projection of a 3D curve onto a surface.
  • the planar curve transposition from the 3D to the 2D parametric space of an underlying plane and v. s.
  • the positioning of a 2D gp object in the 3D geometric space.

Lines and Circles from Constraints

The Lines and Circles from Constraints component provides numerous construction algorithms for 2D circles or lines described with numeric or geometric constraints in relation to other curves. These constraints enable the following to be imposed:

  • the radius of a circle,
  • the angle that a straight line makes with another straight line,
  • the tangency of a straight line or circle in relation to a curve,
  • the passage of a straight line or circle through a point,
  • the circle with center in a point or curve.

For example, these algorithms enable to easily construct a circle of a given radius, centered on a straight line and tangential to another circle.

The implemented algorithms are more complex than those provided by the Direct Constructions component for building 2D circles or lines.

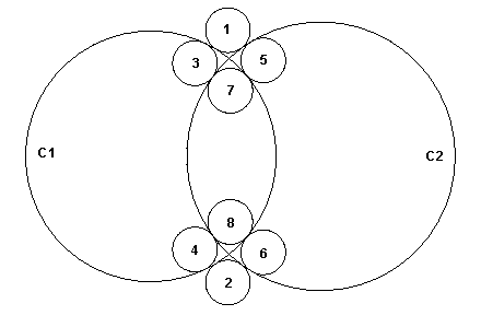
The expression of a tangency problem generally leads to several results, according to the relative positions of the solution and the circles or straight lines in relation to which the tangency constraints are expressed. For example, consider the following case of a circle of a given radius (a small one) which is tangential to two secant circles C1 and C2:

technical_overview_occ_0005.png
Example of a Tangency Constraint

This diagram clearly shows that there are 8 possible solutions.

In order to limit the number of solutions, we can try to express the relative position of the required solution in relation to the circles to which it is tangential. For example, if we specify that the solution is inside the circle C1 and outside the circle C2, only two solutions referenced 3 and 4 on the diagram respond to the problem posed.

This technique of qualification of a solution, in relation to the curves to which it is tangential, can be used in all algorithms for constructing a circle or a straight line by geometric constraints. Four qualifiers are used, which specify the following:

  • the solution(s) must enclose the argument, or
  • the solution(s) must be enclosed by the argument, or
  • the solution(s) and the argument must be external to one another, or
  • the relative position is not qualified, i.e. all solutions apply.

These definitions are very easy to interpret on a circle, where it is easy to identify the interior and exterior sides. In fact, for any kind of curve the interior is defined as the left-hand side of the curve in relation to its orientation.

OCCT implements several categories of algorithms:

  • analytic algorithms, where solutions are obtained by the resolution of an equation, such algorithms are used when the geometries which are worked on (tangency arguments, position of the center, etc.) are points, lines or circles;
  • geometric algorithms, where the solution is generally obtained by calculating the intersection of parallel or bisecting curves built from geometric arguments;
  • iterative algorithms, where the solution is obtained by a process of iteration.

For each kind of geometric construction of a constrained line or circle, OCCT provides two types of access to the user:

  • algorithms from the package Geom2dGcc automatically select the algorithm best suited to the problem, both in the general case and in all types of specific cases; the used arguments are Geom2d objects, while the computed solutions are gp objects;
  • algorithms from the package GccAna resolve the problem analytically, and can only be used when the geometries to be worked on are lines or circles; both the used arguments and the computed solutions are gp objects.

The provided algorithms compute all solutions, which correspond to the stated geometric problem, unless the solution is found by an iterative algorithm.

Iterative algorithms compute only one solution, closest to an initial position. They can be used in the following cases:

  • to build a circle, when an argument is more complex than a line or a circle, and where the radius is not known or difficult to determine: this is the case for a circle tangential to three geometric elements, or tangential to two geometric elements and centered on a curve;
  • to build a line, when a tangency argument is more complex than a line or a circle.

Qualified curves (for tangency arguments) are provided either by:

  • the GccEnt package, for direct use by GccAna algorithms, or
  • the Geom2dGcc package, for general use by Geom2dGcc algorithms.

The GccEnt and Geom2dGcc packages also provide simple functions for building qualified curves in a very efficient way.

The GccAna package also provides algorithms for constructing bisecting loci between circles, lines or points. Bisecting loci between two geometric objects are such that each of their points is at the same distance from the two geometric objects. They are typically curves, such as circles, lines or conics for GccAna algorithms. Each elementary solution is given as an elementary bisecting locus object (line, circle, ellipse, hyperbola, parabola), described by the GccInt package.

Note: Curves used by GccAna algorithms to define the geometric problem to be solved, are 2D lines or circles from the gp package: they are not explicitly parameterized. However, these lines or circles retain an implicit parameterization, corresponding to that which they induce on equivalent Geom2d objects. This induced parameterization is the one used when returning parameter values on such curves, for instance with the functions Tangency1, Tangency2, Tangency3, Intersection2 and CenterOn3 provided by construction algorithms from the GccAna or Geom2dGcc packages.

Curves and Surfaces from Constraints

The Curves and Surfaces from Constraints component groups together high level functions used in 2D and 3D geometry for:

  • creation of faired and minimal variation 2D curves
  • construction of ruled surfaces
  • construction of pipe surfaces
  • filling of surfaces
  • construction of plate surfaces
  • extension of a 3D curve or surface beyond its original bounds.

2D Curves from constraints

Elastic beam curves have their origin in traditional methods of modeling applied in boat-building, where a long thin piece of wood, a lathe, was forced to pass between two sets of nails and in this way, take the form of a curve based on the two points, the directions of the forces applied at those points, and the properties of the wooden lathe itself.

Maintaining these constraints requires both longitudinal and transversal forces to be applied to the beam in order to compensate for its internal elasticity. The longitudinal forces can be a push or a pull and the beam may or may not be allowed to slide over these fixed points.

The class Batten produces curves defined on the basis of one or more constraints on each of the two reference points. These include point and angle of tangency settings. The class MinimalVariation produces curves with minimal variation in curvature. The exact degree of variation is provided by curvature settings.

Ruled Surfaces

A ruled surface is built by ruling a line along the length of two curves.

Pipe Surfaces

A pipe is built by sweeping a curve (the section) along another curve (the path).

The following types of construction are available:

  • pipes with a circular section of constant radius,
  • pipes with a constant section,
  • pipes with a section evolving between two given curves.

Surface filling

It is often convenient to create a surface from two or more curves which will form the boundaries that define the new surface.

A case in point is the intersection of two fillets at a corner. If the radius of the fillet on one edge is different from that of the fillet on another, it becomes impossible to sew together all the edges of the resulting surfaces. This leaves a gap in the overall surface of the object which you are constructing.

technical_overview_occ_0006.png
Intersecting filleted edges with differing radiuses

These algorithms allow you to fill this gap from two, three or four curves. This can be done with or without constraints, and the resulting surface will be either a Bezier or a BSpline surface in one of a range of filling styles.

This package was designed with a view to handling gaps produced during fillet construction. Satisfactory results cannot be guaranteed for other uses.

Plate surfaces

In CAD, it is often necessary to generate a surface which has no exact mathematical definition, but which is defined by respective constraints. These can be of a mathematical, a technical or an aesthetic order.

Essentially, a plate surface is constructed by deforming a surface so that it conforms to a given number of curve or point constraints. In the figure below, you can see four segments of the outline of the plane, and a point which have been used as the curve constraints and the point constraint respectively. The resulting surface can be converted into a BSpline surface by using the function MakeApprox .

The surface is built using a variational spline algorithm. It uses the principle of deformation of a thin plate by localised mechanical forces. If not already given in the input, an initial surface is calculated. This corresponds to the plate prior to deformation. Then, the algorithm is called to calculate the final surface. It looks for a solution satisfying constraints and minimizing energy input.

technical_overview_occ_0007.png
Surface generated from four curves and a point
technical_overview_occ_0008.png
Surface generated from two curves and a point

Extension of a 3D curve or surface beyond its original bounds

The extension is performed according to a geometric requirement and a continuity constraint. It should be a small extension with respect to the size of the original curve or surface.

Interpolation

The Interpolation Laws component provides definitions of functions: y=f(x) .

In particular, it provides definitions of:

  • a linear function,
  • an S function, and
  • an interpolation function for a range of values.

Such functions can be used to define, for example, the evolution law of a fillet along the edge of a shape.

The validity of the function built is never checked: the Law package does not know for what application or to what end the function will be used. In particular, if the function is used as the evolution law of a fillet, it is important that the function is always positive. The user must check this.

Topological Tools

This library provides algorithms to:

  • Tessellate shapes
  • Validate shapes
  • Determine the local properties of shapes
  • Determine the global properties of shapes
  • Perform geometric transformations
  • Find planes in which edges are located
  • Convert shapes to NURBS geometry.

It also furnishes a complete brep data structure for topological data structures defined in the Topology library of the Modeling Data module. The following standard topological objects can be created:

  • Vertices
  • Edges
  • Faces
  • Wires
  • Polygonal wires
  • Shells
  • Solids.

The classes provided by the API have the following features:

  • The constructors of classes provide different construction methods;
  • The class retains different tools used to build objects as fields;
  • The class provides a casting method to obtain the result automatically with a function-like call.

For example, to build a vertex V on a point P, you can use:

or

V = MV.Vertex();

For error handling, the BRepBuilderAPI commands raise only the 0StdFail_NotDone exception. When IsDone is false for a command, the error description can be requested from the command.

Construction of Primitives

This library contained in BRepPrimAPI package provides an API (Application Programming Interface) for:

  • Construction of primitives such as:
    • Boxes;
    • Cones;
    • Cylinders;
    • Prisms.

It is possible to create partial solids, such as a sphere limited by longitude. In real models, primitives can be used for easy creation of specific sub-parts.

  • Construction by sweeping along a profile:
    • Linear;
    • Rotational (through an angle of rotation).

Sweeps are objects obtained by sweeping a profile along a path. The profile can be any topology and the path is usually a curve or a wire. The profile generates objects according to the following rules:

  • Vertices generate Edges
  • Edges generate Faces.
  • Wires generate Shells.
  • Faces generate Solids.
  • Shells generate Composite Solids.

It is not allowed to sweep Solids and Composite Solids. Swept constructions along complex profiles such as BSpline curves also available in the BRepOffsetAPI package. This API provides simple, high level calls for the most common operations.

Boolean Operations

Boolean operations allow creating new shapes from old ones by using:

  • Common
  • Cut
  • Fuse
  • Section

From the viewpoint of Topology these are topological operations followed by blending (putting fillets onto edges created after the topological operation).

Topological operations are the most convenient way to create real industrial parts. As most industrial parts consist of several simple elements such as gear wheels, arms, holes, ribs, tubes and pipes. It is usually easy to create those elements separately and then to combine them by Boolean operations in the whole final part.

There exist two libraries providing Boolean Operations:

  • Old Boolean Operations (BOA) provided by BRepAlgo package designed and developed in Open CASCADE 6x in 2000; its architecture and content are out of date.
  • New Boolean Operations (NBOA) provided by BRepAlgoAPI package designed and developed in 2001 and completely revised in 2013.

New Boolean Operations provide the following major benefits:

  • The NBOA have an expandable architecture of inner sub-algorithms, which allows to create specific algorithms for the Customers using existing inner sub-algorithms as root algorithms and to reduce the time for the development.
  • The architecture of inner sub-algorithms of NBOA provides their reusability with maximal independence from the environment of NBOA. The fact allows to create specific algorithms for the Customers using these sub-algorithms as they are or as root classes and thus to reduce the time for the development.
  • The architecture of NBOA is history-based. The implementation of NBOA internally sets up a correspondence between any sub-shape of the argument and its image in the result. The history is not imposed and thus it is not error-prone as it was in BOA. The fact allows direct and safely usage of the algorithm in parametric modeling.
  • NBOA provide a general algorithm. It correctly processes without using the workarounds even the cases that cannot be properly processed by BOA.
  • The implementation of NBOA is based on NCollection classes. The usage of opportunities given by local memory allocators ( NCollection_IncAllocator) allows improving memory management and saving memory resources.
  • NBOA use modern algorithms of OCC as auxiliary tools. For e.g. the algorithm of unbalanced binary tree of overlapped bounding boxes NCollection_UBTree. The usage of the algorithm allows to improve the performance of NBOA if there is a big number of sub-shapes in the arguments.

Boolean Operations have the following types of the arguments and produce the following results:

  • For arguments having the same shape type (e.g. SOLID / SOLID) the type of the resulting shape will be a COMPOUND, containing shapes of this type;
  • For arguments having different shape types (e.g. SHELL / SOLID) the type of the resulting shape will be a COMPOUND, containing shapes of the type that is the same as that of the low type of the argument. Example: For SHELL/SOLID the result is a COMPOUND of SHELLs.
  • For arguments with different shape types some of Boolean Operations can not be done using the default implementation, because of a non-manifold type of the result. Example: the FUSE operation for SHELL and SOLID can not be done, but the CUT operation can be done, where SHELL is the object and SOLID is the tool.
  • It is possible to perform Boolean Operations on arguments of the COMPOUND shape type. In this case each compound must not be heterogeneous, i.e. it must contain equidimensional shapes (EDGEs or/and WIREs, FACEs or/and SHELLs, SOLIDs). SOLIDs inside the COMPOUND must not contact (intersect or touch) each other. The same condition should be respected for SHELLs or FACEs, WIREs or EDGEs.
  • Boolean Operations for COMPSOLID type of shape are not supported.

Fillets and Chamfers

This library provides algorithms to make fillets and chamfers on shape edges. The following cases are addressed:

  • Corners and apexes with different radii;
  • Corners and apexes with different concavity.

If there is a concavity, both surfaces that need to be extended and those, which do not, are processed.

Offsets, Drafts and Sweeps

These classes provide the following services:

  • Creation of offset shapes and their variants such as:
    • Hollowing;
    • Shelling;
    • Lofting;
  • Creation of tapered shapes using draft angles;
  • Creation of sweeps.

Features

This library contained in BRepFeat package is necessary for creation and manipulation of both form and mechanical features in a Boundary Representation framework.

Form Features

The form features are depressions or protrusions including the following types:

  • Cylinder;
  • Draft Prism;
  • Prism;
  • Revolved feature;
  • Pipe.

Depending on whether you wish to make a depression or a protrusion, you can choose either to remove matter (Boolean cut: Fuse equal to 0) or to add it (Boolean fusion: Fuse equal to 1).

The semantics of form feature creation is based on the construction of shapes:

  • for a certain length in a certain direction;
  • up to the limiting face;
  • from the limiting face at a height;
  • above and/or below a plane.

The shape defining the construction of a feature can be either a supporting edge or a concerned area of a face.

In case of supporting edge, this contour can be attached to a face of the basis shape by binding. When the contour is bound to this face, the information that the contour will slide on the face becomes available to the relevant class methods. In case of the concerned area of a face, you can, for example, cut it out and move it at a different height, which defines the limiting face of a protrusion or depression.

Topological definition with local operations of this sort makes calculations simpler and faster than a global operation. The latter would entail a second phase of removing unwanted matter to get the same result.

Mechanical Features

Mechanical features include ribs, protrusions and grooves (or slots), depressions along planar (linear) surfaces or revolution surfaces.

The semantics of mechanical features is based on giving thickness to a contour. This thickness can either be

  • unilateral
  • on one side of the contour
  • or bilateral
  • on both sides.

As in the semantics of form features, the thickness is defined by construction of shapes in specific contexts.

However, in case of mechanical features, development contexts differ. Here they include extrusion:

  • to a limiting face of the basis shape;
  • to or from a limiting plane;
  • to a height.

Splitting and Gluing

It can be required to perform low-level splitting/gluing operations on shapes. Open CASCADE provides the following algorithms for that:

  • Split shape allows defining particular faces in a shape and new edges which should split that faces. Upon completion the algorithm gives the part of the shape which is situated on the left side of the line composed from new edges. In combination with the Section algorithm it is a powerful tool for partitioning shapes.
  • Glue shapes allows to defining pairs of faces and pairs of edges of two neighboring shapes to glue. Upon completion the algorithm gives the glued shape with cut out parts of faces inside the shape.

Hidden Line Removal

This library provides two algorithms: HLRBRep_Algo and HLRBRep_PolyAlgo to define the lines of a shape hidden in a given projection. These lines can be shown or hidden to have the precision required in industrial design. To do this, the Hidden Line Removal component provides

These algorithms remove or indicate lines hidden by surfaces.

For a given projection, they calculate a set of lines characteristic of the object being represented. They are also used in conjunction with extraction utilities, which reconstruct a new, simplified shape from a selection of calculation results. This new shape is made up of edges, which represent the lines of the visualized shape in a plane. This plane is the projection plane.

The algorithm HLRBRep_Algo allows working with the shape itself, while HLRBRep_PolyAlgo works with its polyhedral simplification. When you use HLRBRep_Algo, you obtain an exact result, whereas, when you use HLRBRep_PolyAlgo, you reduce computation time but obtain polygonal segments.

Sewing

Sewing allows creation of connected topology (shells and wires) from a set of separate topological elements (faces and edges). For example, Sewing can be used to create of shell from a compound of separate faces.

It is important to distinguish between sewing and other procedures, which modify the geometry, such as filling holes or gaps, gluing, bending curves and surfaces, etc.

Sewing does not change geometrical representation of the shapes. Sewing applies to topological elements (faces, edges) which are not connected but can be connected because they are geometrically coincident : it adds the information about topological connectivity. Already connected elements are left untouched in case of manifold sewing.

Let us define several terms:

  • Floating edges do not belong to any face;
  • Free boundaries belong to one face only;
  • Shared edges belong to several faces, (i.e. two faces in a manifold topology).
  • Sewn faces should have edges shared with each other.
  • Sewn edges should have vertices shared with each other.

Sewing Algorithm

The sewing algorithm is one of the basic algorithms used for shape processing, therefore its quality is very important.

There are two implementations of sewing algorithm:

  • Standard provided by BRepAlgo_Sewing, and
  • Advanced provided by ShapeUpgrade_Sewing, which is a sub-class of BRepAlgo_Sewing.

The only difference between them is that Advanced sewing performs some additional fixes provided by Shape Healing (use of ShapeFix_Shape) and improves some particular cases, such as closed surfaces. The principle and architecture of the algorithm itself remain the same.

Class BRepAlgo_Sewing provides methods implementing sewing algorithms:

  • loading initial data for global or local sewing;
  • setting customization parameters, such as special operation modes, tolerances and output results;
  • applying analysis methods that can be used to obtain connectivity data required by external algorithms;
  • sewing of the loaded shapes.

Sewing supports working mode with big value tolerance. It is not necessary to repeat sewing step by step while smoothly increasing tolerance.

It is also possible to sew edges to wire and to sew locally separate faces and edges from a shape.

The Sewing algorithm can be subdivided into several independent stages, some of which can be turned on or off using Boolean or other flags.

In brief, the algorithm should find a find a set of merge candidates for each free boundary, filter them according to certain criteria, and finally merge the found candidates and build the resulting sewn shape.

Each stage of the algorithm or the whole algorithm can be adjusted with the following parameters:

  • Working tolerance defines the maximal distance between topological elements which can be sewn. It is not ultimate that such elements will be actually sewn as many other criteria are applied to make the final decision.
  • Minimal tolerance defines the size of the smallest element (edge) in the resulting shape. It is declared that no edges with size less than this value are created after sewing. If encountered, such topology becomes degenerated.
  • Non-manifold mode enables sewing of non-manifold topology.

Tolerance Management

To produce a closed shell, Sewing allows specifying the value of working tolerance, exceeding the size of small faces belonging to the shape.

However, if we produce an open shell, it is possible to get incorrect sewing results if the value of working tolerance is too large (i.e. it exceeds the size of faces lying on an open boundary).

The following recommendations can be proposed for tuning-up the sewing process:

  • Use as small working tolerance as possible. This will reduce the sewing time and, consequently, the number of incorrectly sewn edges for shells with free boundaries.
  • Use as large minimal tolerance as possible. This will reduce the number of small geometry in the shape, both original and appearing after cutting.
  • If it is expected to obtain a shell with holes (free boundaries) as a result of sewing, the working tolerance should be set to a value not greater than the size of the smallest element (edge) or smallest distance between elements of such free boundary. Otherwise the free boundary may be sewn only partially.
  • It should be mentioned that the Sewing algorithm is unable to understand which small (less than working tolerance) free boundary should be kept and which should be sewn.

Manifold and Non-manifold Sewing

To create one or several shells from a set of faces, sewing merges edges, which belong to different faces or one closed face.

Face sewing supports manifold and non manifold modes. Manifold mode can produce only a manifold shell. Sewing should be used in the non manifold mode to create non manifold shells.

Manifold sewing of faces merges only two nearest edges belonging to different faces or one closed face with each other. Non manifold sewing of faces merges all edges at a distance less than the specified tolerance.

For a complex topology it is advisable to apply first the manifold sewing and then the non manifold sewing a minimum possible working tolerance. However, this is not necessary for a easy topology.

Giving a large tolerance value to non manifold sewing will cause a lot of incorrectness since all nearby geometry will be sewn.

Local Sewing

If a shape still has some non-sewn faces or edges after sewing, it is possible to use local sewing with a greater tolerance.

Local sewing is especially good for open shells. It allows sewing an unwanted hole in one part of the shape and keeping a required hole, which is smaller than the working tolerance specified for the local sewing in the other part of the shape. Local sewing is much faster than sewing on the whole shape.

All preexisting connections of the whole shape are kept after local sewing.

Shape Healing

Shape Healing library provides algorithms to modify the geometry and topology of OCCT shapes and to make them maximally appropriate for use by OCCT, including, but not limited to the following operations:

  • analyze shape characteristics and, in particular, identify the shapes that do not comply with OCCT geometry and topology validity rules by analyzing geometrical objects and topology:
    • check edge and wire consistency;
    • check edge order in a wire;
    • check the orientation of face boundaries;
    • analyze shape tolerances;
    • return closed and open wires in a boundary.
  • fix incorrect or problem shapes:
    • provide consistency between a 3D curve and its corresponding parametric curve;
    • repair defective wires;
    • fit the shapes to a user-defined tolerance value;
    • fill gaps between patches and edges.
  • upgrade and change shape characteristics:
    • reduce curve and surface degree;
    • split shapes to obtain C1 continuity;
    • convert any types of curves or surfaces to Bezier or Bspline curves or surfaces and back;
    • split closed surfaces and revolution surfaces.

Each sub-domain of Shape Healing has its own scope of functionality:

Sub-domain Description Impact on the shape
Analysis Exploring shape properties, computing shape features, detecting violation of OCCT requirements. The shape itself is not modified.
Fixing Fixing shape to meet the OCCT requirements. The shape may change its original form: modification, removal or creation of sub-shapes, etc.)
Upgrade Shape improvement for better usability in OCCT or other algorithms. The shape is replaced with a new one, but geometrically they are the same.
Customization The shape representation is modified to fit specific needs. The shape is not modified, only the form of its representation is modified.
Processing Mechanism of shape modification via a user-editable resource file.

The technical overview provides only a basic description of the libraries. For more details refer to Shape Healing User's guide.

See also: our web site at E-learning and Training.

Examples

How to compute the state of a point on a face:

Use BRepTools::Pnt to get the point from your vertex. Your shape must be of the TopoDS_Shape type. If it is, you can use BRepTopAdaptor_FClass2d class. For example:

BRepTopAdaptor_FClass2d::Load (to load the solid )
BRepTopAdaptor_FClass2d::Perform (to compute the state of the point )
BRepTopAdaptor_FClass2d::State (to get the TopAbs_State).

How to compute the state of a point in a solid:

Use BRepTools::Pnt to get the point from your vertex. Your shape must be of the TopoDS_Solid type.

If it is, you can use the BRepClass3d_SolidClassifier class, for example:

BRepClass3d_SolidClassifier::Perform (to compute the state of the point)
BRepClass3d_SolidClassifier inherits BRepclass3d_SClassifier

How to connect a set of contiguous but independent faces

A unique topological object can be obtained in this way using the class Sewing from the BRepOffsetAPI package which produces a shell as a result.

Sew.Add(Face1);
Sew.Add(Face2);
...
Sew.Add(Facen);
Sew.Perform();
TopoDS_Shape result= Sew.SewedShape();
Note
The sewing algorithm uses a tolerance to assemble the faces by sewing them along common edges. You must therefore check the gap between faces before sewing or adjust the value of the tolerance according to the real gap of the geometry.

If all faces have been sewed correctly, the result is a shell. Otherwise, it is a compound. After a successful sewing operation all faces have a coherent orientation.

For more information, refer to the entry for this class in reference documentation.

How to check the orientation of a solid

If you want to create a solid from a closed shell, you must first check the orientation to determine if you have to reverse the shell or not (for example after creating a closed shell from a sewing operation). To do this, use the PerformInfinitePoint method from the BrepClass3D_SolidClassifier class.

clas3d.PerformInfinitePoint(Precision::Confusion());
if (clas3d.State() == TopAbs_IN)
newShell.Reverse();
BRepBuilderAPI_MakeSolid aSolid(aShell);

Mesh

In addition to support of exact geometrical representation of 3D objects Open CASCADE Technology provides functionality to work with tessellated representations of the objects, in the form of mesh.

Open CASCADE Technology mesh functionality provides:

  • data structures to store surface mesh data associated to shapes, and some basic algorithms to handle these data
  • data structures and algorithms to build surface triangular mesh from BRep objects (shapes).
  • tools to extend 3D visualization capabilities of Open CASCADE Technology with displaying meshes along with associated pre- and post-processor data.

Additionally, Open CASCADE Technology includes two mesh converters:

  • VRML converter translates Open CASCADE shapes to VRML 1.0 files (Virtual Reality Modeling Language). Open CASCADE shapes may be translated in two representations: shaded or wireframe. A shaded representation present shapes as sets of triangles computed by a mesh algorithm while a wireframe representation present shapes as sets of curves.
  • STL converter translates Open CASCADE shapes to STL files. STL (STtereoLithography) format is widely used for rapid prototyping.

Open CASCADE SAS also offers Advanced Mesh Products:

Besides, we can efficiently help you in the fields of surface and volume meshing algorithms, mesh optimization algorithms etc. If you require a qualified advice about meshing algorithms, do not hesitate to benefit from the expertise of our team in that domain.

The projects dealing with numerical simulation can benefit from using SALOME - an Open Source Framework for CAE with CAD data interfaces, generic Pre- and Post- F.E. processors and API for integrating F.E. solvers.

Learn more about SALOME platform on http://www.salome-platform.org

Shape Translation

STL Format

OCCT includes a module for translating OCCT shapes to STL (Stereolithography) format. STL is a format designed for rapid prototyping. It is intended to send geometric data (volumic) to stereolithography machines, which can read and interpret such data. These machines can transform a volumic model to a physical prototype made of plastic, by using laser to coagulate material, which corresponds to the volume, and set free the material around. STL defines these surfaces by triangles. Thus, no machining is required to switch from a virtual model to a physical one.

Since STL files can only include solids described by their mesh structures, OCCT shapes, which are intended to be written, must be solids, components of solids or closed shells with a correct orientation.

When translating shapes to STL format, remember that all references to shapes mean references to OCCT shapes unless otherwise explicitly defined. In addition, sets of faces or unclosed shells may also be translated but visualization in foreign viewers may be incorrect.

VRML Format

The Virtual Reality Modeling Language (VRML) is a language for describing multi-participant interactive simulations, virtual worlds networked via the Internet and hyperlinked with the World Wide Web. VRML is a format designed for animated visualization of solids. OCCT includes a module for translating OCCT shapes to VRML (Virtual Reality Modeling Language). OCCT shapes may be translated in two representations (states): shaded or wireframe. Since shaded VRML format files include only solids described by their mesh structures, the OCCT shapes intended to be written must be solids, components of solids or closed shells with a correct orientation.

Please, note:

  • all references to shapes indicate OCCT shapes unless otherwise explicitly stated;
  • sets of faces or unclosed shells may also be translated to shaded VRML format but visualization with foreign viewers may be incorrect.

Visualization

Visualization in Open CASCADE Technology is based on the separation of modeling data you want to display and select, and on the graphical presentation of its structure.

For visualizing data structures, OCCT provides ready-to-use algorithms, which create graphic presentations from geometric models. These data structures may be used with the viewers supplied, and can be customized to take the specificity of your application into account.

Display is managed through presentation services, and selection in its turn is managed through selection services. With these services, data structures and algorithms are provided to display objects of an application and to support graphical selection of these objects.

Application Interactive Services (AIS) are provided to manage displaying, detection and selection of graphical presentations. These services associate data structures and interactive objects.

The technical overview provides only a basic description of the libraries. For more details see Visualization User's Guide.

See also: our web site at E-learning and Training.

technical_overview_viz.png

3D Graphics

3D Graphics provided by Graphic3d package supports three-dimensional manipulation of 3d graphic objects called structures. Structures, are made up of groups that unite primitives, such as polylines, planar polygons with or without holes, text and markers, and attributes, such as color, transparency, reflection, line type, line width, and text font. A group is the smallest editable element of a structure.

A structure can be displayed, erased, highlighted and transformed. Structures can be connected to form a hierarchy of structures, composed by transformations. The viewer can perform global manipulation of structures.

Visual3d package contains the group of classes required to implement commands for 3D viewer. The viewer manages views and light sources.

Most types of primitives supported by Graphic3d can be dumped to a vector file format such as PDF and PostScript. Export to vector formats is implemented with help of GL2PS library.

3D Visualization

This library provides services for:

  • Selection of 3D data structures
  • Presentation of 3D data structures

Access to 3D presentation and selection is provided through AIS (Application Interactive Services). This package is a high-level interface that offers access to the lower-level presentation and selection services. AIS expand this underlying functionality with standard 3D selection attributes, presentation management, and standard 3D presentation attributes, and manages it in the definition of GUI viewers. To implement these services, AIS package includes the following:

  • Interactive context
  • Interactive objects
  • A graphic attributes manager
  • Selection filters

Interactive Context

Interactive context pilots 3D visualizations and selections. The interactive context allows you to manage, in a transparent way, graphic and "selectable" behavior of interactive objects which is not yet defined in the predefined types of these objects.

AIS have two operating context types. The default neutral point type allows easily visualizing and selecting entire interactive objects, which have been loaded into the context. Opening a local context allows preparing and using a temporary selection environment to select a part of an interactive object.

Interactive Objects

Entities which are visualized and selected in the AIS viewer are objects. They connect the underlying reference geometry of a model to its graphic representation in AIS. You can use predefined OCCT classes of standard interactive objects for which all necessary functions have already been programmed, or, in case you are an advanced user, you can implement your own classes of interactive objects.

Graphic Attributes Manager

Graphic attributes manager, or AIS Drawer, stores graphic attributes for specific interactive objects and for interactive objects controlled by interactive context.

Initially, all drawer attributes are filled out with the predefined values which will define the default 3D object appearance.

When an interactive object is visualized, the required graphic attributes are first taken from its own drawer if one exists, or from the context drawer if no specific drawer for that type of object exists.

Selection Filters

An important aspect in selection is the filtering of entities you to select. Selection filters allow you to refine the dynamic detection context, which you want to put into effect. Some of these filters can be used at the Neutral Point, others in an open local context only. You can also program your own filters and load them into the context.

Application Interactive Services (AIS)

Application Interactive Services provide the means to create links between an application GUI viewer and the packages which are used to manage selection and presentation. The tools AIS defined for this include different sorts of entities: the selectable viewable objects themselves and the context and attribute managers to define their selection and display.

To orient the user as he works in a modeling environment, views and selections must be comprehensible. There must be several different sorts of selectable and viewable object defined. These must also be interactive, that is, connecting graphic representation and the underlying reference geometry. These entities are called Interactive Objects, and are divided into four types:

  • the Datum
  • the Relation
  • the Object
  • None.

The Datum groups together the construction elements such as lines, circles, points, trihedrons, plane trihedrons, planes and axes. The Relation is made up of constraints on one or more interactive shapes and the corresponding reference geometry. For example, you might want to constrain two edges in a parallel relation. This constraint is considered as an object in its own right, and is shown as a sensitive primitive. This takes the graphic form of a perpendicular arrow marked with the || symbol and lying between the two edges.

The Object type includes topological shapes, and connections between shapes.

None, in order not to eliminate the object, tells the application to look further until it finds an object definition in its generation which is accepted.

Inside these categories, you have the possibility of an additional characterization by means of a signature. The signature provides an index to the further characterization. By default, the Interactive Object has a None type and a signature of 0 (equivalent to None.) If you want to give a particular type and signature to your interactive object, you must redefine the two virtual methods: Type and Signature.

In the C++ inheritance structure of the package, each class representing a specific Interactive Object inherits AIS_InteractiveObject. Among these inheriting classes, AIS_Relation functions as the abstract mother class for inheriting classes defining display of specific relational constraints and types of dimension. Some of these include:

  • display of constraints based on relations of symmetry, tangency, parallelism and concentricity
  • display of dimensions for angles, offsets, diameters, radii and chamfers.

No viewer can show everything at once with any coherence or clarity. Views must be managed carefully both sequentially and at any given instant. Another function of the view is that of a context to carry out design in. The design changes are applied to the objects in the view and then extended to the underlying reference geometry by a solver. To make sense of this complicated visual data, several display and selection tools are required. To facilitate management, each object and each construction element has a selection priority. There are also means to modify the default priority.

To define an environment of dynamic detection, you can use standard filter classes or create your own. A filter questions the owner of the sensitive primitive in local context to determine if it has the desired qualities. If it answers positively, it is kept. If not, it is rejected.

The standard filters supplied in AIS include:

Only the type filter can be used in the default operating mode, the neutral point. The others can only be used in open local contexts.

Neutral point and local context constitute the two operating modes of the central entity which pilots visualizations and selections, the Interactive Context. It is linked to a main viewer and if you like, a trash bin viewer as well.

The neutral point, which is the default mode, allows you to easily visualize and select interactive objects which have been loaded into the context. Opening local contexts allows you to prepare and use a temporary selection environment without disturbing the neutral point. A set of functions allows you to choose the interactive objects which you want to act on, the selection modes which you want to activate, and the temporary visualizations which you will execute. When the operation is finished, you close the current local context and return to the state in which you were before opening it (neutral point or previous local context).

An interactive object can have a certain number of graphic attributes, which are specific to it, such as visualization mode, color, and material. By the same token, the interactive context has a set of graphic attributes, the Drawer which is valid by default for the objects it controls. When an interactive object is visualized, the required graphic attributes are first taken from the object's own Drawer if one exists, or from the context drawer for the others.

Presentation

Presentation Management

PrsMgr package provides low level services and is only to be used when you do not want to use the services provided by AIS. It manages the display through the following services:

  • supplying a graphic structure for the object to be presented
  • recalculating presentations when required, e.g. by moving the object or changing its color
  • defining the display mode of the object to be presented; in the case of AIS_Shape, for example, this determines whether the object is to be displayed in wireframe (0) or shading (1) mode.

Note that each new Interactive Object must have all its display modes defined.

Presentations of Geometry

The Presentations of Geometry component provides services for advanced programmers to extend the Application Interactive Services component, AIS. This would prove necessary in situations where new Interactive Objects were required.

The StdPrs package provides standard display tools for specific geometries and topologies whereas Prs3d provides those for generic objects. Among these classes are definitions of the display of the specific geometry or topology in various display modes such as wireframe, shading or hidden line removal mode.

Presentation of Dimensions

DsgPrs package provides tools for display of dimensions, relations and XYZ trihedrons.

Selection

Selection of 3D data structures is provided using various algorithms.

Basic Selection

The SelectBasics package provides the following services:

  • the root definition of the sensitive primitive, a selectable entity in a view
  • the definition of the owner of a sensitive primitive; this entity relates the primitive to the application entity which is to be selected in the view.

Standard Selections

The StdSelect package provides the following services:

  • definition of selection modes for topological shapes
  • definition of several filter standard Selection2d.ap classes
  • 3D viewer selectors.

Note that each new Interactive Object must have all its selection modes defined. The Select3D package provides the following services:

  • definition of standard 3D sensitive primitives such as points, curves and faces;
  • recovery of the bounding boxes in the 2D graphic selection space, if required;
  • a 3D-2D projector.

Selection Management

The SelectMgr package provides low level services and classes SelectMgr_SelectionManager and SelectMgr_ViewerSelector . They can be used when you do not want to use the services provided by AIS.

SelectMgr manages the process of dynamic selection through the following services:

  • activating and deactivating selection modes for Interactive Objects
  • adding and removing viewer selectors
  • definitions of abstract filter classes

The principle of graphic selection consists in representing the objects which you want to select by a bounding box in the selection view. The object is selected when you use the mouse to designate the zone produced by the object.

To realize this, the application creates a selection structure which is independent of the point of view. This structure is made up of sensitive primitives which have one owner object associated to each of them. The role of the sensitive primitive is to reply to the requests of the selection algorithm whereas the owner's purpose is to make the link between the sensitive primitive and the object to be selected. Each selection structure corresponds to a selection mode which defines the elements that can be selected.

For example, to select a complete geometric model, the application can create a sensitive primitive for each face of the interactive object representing the geometric model. In this case, all the primitives share the same owner. On the other hand, to select an edge in a model, the application must create one sensitive primitive per edge.

void InteractiveBox::ComputeSelection
const Standard_Integer Mode){
switch(Mode){
case 0:
// locating the whole box by making its faces sensitive ...
{
for(Standard_Integer I=1;I<=Nbfaces;I++){
(Ownr,[array of the vertices] face I);
break;
}
case 1: // locates the edges
{
for(Standard_Integer i=1;i<=12;i++){
// 1 owner per edge...
Handle(mypk_EdgeOwner) Ownr =
new mypk_EdgeOwner(this,i,6);
// 6->priority
Sel->Add(new
(Ownr,firstpt(i),lastpt(i));
}
}
}

The algorithms for creating selection structures store the sensitive primitives in a SelectMgr_Selection object. To do this, a set of ready-made sensitive primitives is supplied in the Select2D and Select3D packages. New sensitive primitives can be defined through inheritance from SensitiveEntity. For the application to make its own objects selectable, it must define owner classes inheriting SelectMgr_EntityOwner.

For any object inheriting from AIS_InteractiveObject, you redefine its ComputeSelection functions. In the example below there are different modes of selection on the topological shape contained within the interactive object, selection of the shape itself, the vertices, the edges, the wires, the faces.

void MyPack_MyClass::ComputeSelection(
const Handle(SelectMgr_Selection)& aSelection,
const Standard_Integer aMode)
{
switch(aMode){
case 0:
aSelection,this,myShape,TopAbs_SHAPE);
break;
}
case 1:
aSelection,this,myShape,TopAbs_VERTEX);
break;
}
case 2:
aSelection,this,myShape,TopAbs_EDGE);
break;
}
case 3:
aSelection,this,myShape,TopAbs_WIRE);
break;
}
case 4:
aSelection,this,myShape,TopAbs_FACE);
break;
}
}

The StdSelect_BRepSelectionTool object provides a high level service which will make the shape myShape selectable when the AIS_InteractiveContext is asked to display your object.

Note:

The traditional way of highlighting selected entity owners adopted by Open CASCADE Technology assumes that each entity owner highlights itself on its own. This approach has two drawbacks:

  • each entity owner has to maintain its own Prs3d_Presentation object, that results in large memory overhead for thousands of owners;
  • drawing selected owners one by one is not efficient from the OpenGL usage viewpoint.

That is why a different method has been introduced. On the basis of SelectMgr_EntityOwner::IsAutoHilight() return value AIS_LocalContext object either uses the traditional way of highlighting ( IsAutoHilight() returned true) or groups such owners according to their Selectable Objects and finally calls SelectMgr_SelectableObject::HilightSelected() or ClearSelected(), passing a group of owners as an argument.

Hence, an application can derive its own interactive object and redefine HilightSelected(), ClearSelected() and HilightOwnerWithColor() virtual methods to take advantage of such OpenGL technique as arrays of primitives. In any case, these methods should at least have empty implementation.

The AIS_LocalContext::UpdateSelected(const Handle(AIS_InteratciveObject)&, Standard_Boolean) method can be used for efficient redrawing a selection presentation for a given interactive object from an application code.

Additionally, the SelectMgr_SelectableObject::ClearSelections() method now accepts an optional Boolean argument. This parameter defines whether all object selections should be flagged for further update or not. This improved method can be used to re-compute an object selection (without redisplaying the object completely) when some selection mode is activated not for the first time.

Attribute Management

The Attribute Management tool-kit provides services for advanced programmers to extend the Application Interactive Services component, AIS. This would prove necessary in situations where new Interactive Objects were required.

The Prs3d package provides the following services:

  • a presentation object (the context for all modifications to the display, its presentation will be displayed in every view of an active viewer)
  • an attribute manager governing how objects such as color, width, and type of line are displayed; these are generic objects, whereas those in StdPrs are specific geometries and topologies.
  • generic algorithms providing default settings for objects such as points, curves, surfaces and shapes
  • a root object which provides the abstract framework for the DsgPrs definitions at work in display of dimensions, relations and trihedrons.

Mesh Visualization Services

MeshVS (Mesh Visualization Service) component extends 3D visualization capabilities of Open CASCADE Technology. It provides flexible means of displaying meshes along with associated pre- and post-processor data.

From a developer's point of view, it is easy to integrate the MeshVS component into any mesh-related application with the following guidelines:

  • Derive a data source class from the MeshVS_DataSource class.
  • Re-implement its virtual methods, so as to give the MeshVS component access to the application data model. This is the most important part of the job, since visualization performance is affected by performance of data retrieval methods of your data source class.
  • Create an instance of MeshVS_Mesh class.
  • Create an instance of your data source class and pass it to a MeshVS_Mesh object through the SetDataSource() method.
  • Create one or several objects of MeshVS_PrsBuilder-derived classes (standard, included in the MeshVS package, or your custom ones).
  • Each PrsBuilder is responsible for drawing a MeshVS_Mesh presentation in a certain display mode(s) specified as a PrsBuilder constructor's argument. Display mode is treated by MeshVS classes as a combination of bit flags (two least significant bits are used to encode standard display modes: wireframe, shading and shrink).
  • Pass these objects to the MeshVS_Mesh::AddBuilder() method. MeshVS_Mesh takes advantage of improved selection highlighting mechanism: it highlights its selected entities itself, with the help of so called "highlighter" object. You can set one of PrsBuilder objects to act as a highlighter with the help of a corresponding argument of the AddBuilder() method.

Visual attributes of the MeshVS_Mesh object (such as shading color, shrink coefficient and so on) are controlled through MeshVS_Drawer object. It maintains a map "Attribute ID --> attribute value" and can be easily extended with any number of custom attributes.

In all other respects, MeshVS_Mesh is very similar to any other class derived from AIS_InteractiveObject and it should be used accordingly (refer to the description of AIS package in the documentation).

Images and Drivers

Images

The Image package provides classes PixMap, defining low-level image bitmap in arbitrary formats (RGB, RGBA, Grayscale), and AlienPixMap, providing import / export from / to external image files in formats supported by FreeImage library.

Drivers

The Xw package contains the common X graphic interface. It uses XWindow bitmap fonts that cannot be modified.

The WNT package contains the common Windows NT graphic interface.

The Cocoa package provides interaction with Cocoa API on Mac OS X.

New Interactive Services (NIS)

New Interactive Services package provides the API similar to the traditional AIS but with some important differences/improvements:

  • Each type of InteractiveObject should have a corresponding Drawer class that defines the presentation of the Object type using direct OpenGl calls. This is a much faster way to display 3D objects, providing for more than 1 million separate selectable entities in one view.
  • The abstract type NIS_InteractiveObject does not support any properties (color, material, other aspects). The relevant properties should be defined in the specializations of the Drawer class, and the API to set/modify should be implemented in the specializations of InteractiveObject class.
  • Interactive selection is managed by InteractiveObject methods instead of special selector classes and data types. This is possible since in NIS the selection is based on 3D representation (by a ray or a box corresponding to the view direction) without intermediate 2D projection.
  • Many InteractiveContext instances can be attached to a V3d_View, these instances being independent containers of interactive objects; removal (detaching) of InteractiveContext instance destroys the contained objects.
  • All data types and algorithms are designed to provide the best performance for both OpenGl (server side) and application. On the other hand, the API is open to any feature supported by any version of OpenGl. This allows building custom presentations quickly and efficiently.
  • Standard NIS_View subclasses V3d_View thus providing all its public API, such as scene definition (view orientation, lights, background, etc.) and the standard view transformations (pan/zoom/rotate,fitAll,...). The traditional AIS-based presentations (e.g., AIS_Shape) are also supported, they can be rendered together with NIS presentations in the same view window.

The DRAW test plugin, TKViewerTest, has been modified to manage AIS_InteractiveContext and NIS_InteractiveContext together in one view window.

Voxels

A voxel is a sub-volume box with constant scalar/vector value. The object in voxel representation is split into many small sub-volumes (voxels) and its properties are distributed through voxels.

Voxels are used for analysis and visualization of 3D-dimensional distribution of data. Medicine (mainly, tomography), computational physics (hydrodynamics, aerodynamics, nuclear physics) and many other industries use voxels for 3D data visualization and analysis of physical processes.

Open CASCADE Technology provides several basic data containers for voxels with fast access to the data and optimal allocation of data in memory. Also, a special visualization toolkit allows visualizing voxels as colored or black/white points and cubes, displaying only the voxels visible from the user's point of view.

See Voxels User's Guide for more information.

Examples

How to change graphic attributes of an interactive object

The set of graphic attributes of an interactive object is defined in AIS_Drawer. Each interactive object can have its own visualization attributes.

By default, the interactive object takes the graphic attributes of the interactive context in which it is visualized (visualization mode, deflection, values for the calculation of presentations, number of isoparametric lines, color, type of line, material, etc.)

In the AIS_InteractiveObject abstract class, several standard attributes have been privileged. These include: color, thickness of line, material, and transparency. Consequently, a certain number virtual functions which allow us to act on these attributes have been proposed. Each new class of interactive object can use them as they are or can redefine these functions to bring about the changes it should produce in the behavior of the class.

Other attributes can be changed by acting directly on the drawer of the object. An interactive object has a specific drawer as soon as you change an attribute on it. If you do not modify any graphic attribute on it, the default drawer of the interactive context is referenced and used.

To get the AIS_Drawer of an object, call method AIS_InteractiveObject::Attributes .

To set the AIS_Drawer of an object, call method AIS_InteractiveObject::SetLocalAttributes .

How to dump a scene from the viewer

You can dump the contents of a V3D_View in a file with the same scale or with a different scale according to the required paper size (format) and the aspect ratio of the view. This is provided by method V3d_View::Dump. For example:

CString filename ("myView3D.bmp");
myView->Dump (filename, Aspect_FOSP_A4);

myView is a V3d_View, where OCCT objects are displayed using, for example, AIS services.

Please, note:

  • The file name extension can be any among ".xwd", ".png", or ".bmp" formats both on UNIX or NT.
  • Be careful about dump time requirements of the resulting file, especially for the A formats.
  • The GIF format generates very small files, BMP and XWD generates much larger files (4 to 6 times the size of a GIF).
  • The time to generate these files is very short with the XWD format but 2 to 4 times longer for the other formats.
  • After getting an image file of your view, you can use any standard application for editing or sending the image file to a printer (i.e.: Microsoft Photo Editor on Windows or Image Viewer on SUN system)

How to add and remove objects from Selections

You can add or remove an object from a selection in one of two ways. You can use:

How to detect overlapped objects

When objects overlap each other and cause difficulties in selection, you can use the mechanism provided with the AIS_InteractiveContext to successively highlight all the objects found under the selection. This allows you to choose and validate the required object.

If ( myAISContext->HasNextDetected()) {
// if up key is pressed
myAISContext ->HilightNextDetected(myView);
// if down key is pressed
myAISContext ->HilightPreviousDetected(myView);
}

Get mouse coordinates in 3D view

To switch from pixel mouse position on the screen to 3D coordinates in V3d_View, use V3d_View::Convert method.

aView->Convert(Xp,Yp,X,Y,Z)

Where Xp, Yp are the mouse coordinates in pixels and X,Y,Z the real coordinates in 3D space.

3D Viewer Objects

The V3d package contains the set of commands and services of the 3D Viewer. It provides a set of high level commands to control views and viewing modes. This package is complementary to the Visual3D graphic package.

CSF_WALKTHROUGH variable enables you to manage the perspective of the view in the viewer by defining setenv CSF_WALKTHROUGH "Yes".

If you use the syntax unsetenv CSF_WALKTHROUGH , you make sure that the variable is deactivated. In this case, the eye is located outside the 3D bounding box of the view. This is the default behavior for managing the view perspective.

Data Exchange

Data Exchange is a key factor in using Open CASCADE Technology (as well as applications based thereon) concurrently with other software such as CAD systems. It provides the openness of OCCT in a multi-software environment, by allowing it to process external data and providing a good level of integration.

This means obtaining results of good quality, and covering the needs of exchanges from OCCT-based applications regardless of external data quality or requirements, in particular in respect of allowed data types and arrangements between them, accepted gaps between geometries.

This matter is addressed by Data Exchange Module, which is organized in a modular way.

technical_overview_de.png

Data Exchange interfaces in OCCT allow software based on OCCT to exchange data with various CAD software, thus ensuring a good level of interoperability.

644_sh_09_400.png
Image imported from STEP

Data Exchange interfaces function either in accordance with the standards (IGES, STEP), which can be used by various software packages for CAD, PDM etc., or as direct connectors to proprietary formats.

  • Standardized Data Exchange interfaces allow to querying and examining a file, results of conversion and its validity. They are designed to support extensions (new standards) in a common modular architecture.
    • STEP (AP203 : Mechanical Design, this covers General 3D CAD; AP214: Automotive Design)
    • IGES (up to 5.3)
    • VRML and STL meshes.
  • Extended data exchange allows extending the scope of exchange by translating additional data attached to geometric BREP data.
  • Advanced Data Exchange Components are available in addition to standard Data Exchange interfaces to provide direct mapping and data adaptation (also using Shape Healing) with CAD software supporting the following formats:

These components are based on the same architecture as interfaces with STEP and IGES.

General Definitions

OCCT general definitions for Data Exchange include several enumerations and classes used by IGES and STEP data exchange interfaces.

To define translation parameters and file headers, you can use:

To manage Message display, use class Mesage_Messenger.

To define the type of analysis of the source file, and to ensure the success of the loading operation, you use the following enumerations from the IFSelect package:

  • PrintCount
  • ReturnStatus

See also: our web site at E-learning and Training.

IGES

The IGES interface reads IGES files and translates them to Open CASCADE Technology models. IGES files produced in accordance with IGES standard versions up to and including version 5.3 can be read. The interface is able to translate one entity, a group of entities or a whole file. Before beginning a translation, you can set a range of parameters to manage the translation process. If you like, you can also check file consistency before translation.

The IGES interface also translates OCCT models to IGES files. IGES files produced by this component conform to IGES standard version 5.3.

Other kinds of data such as colors and names can be read or written with the help of XDE tools IGESCAFControl_Reader and IGESCAFControl_Writer.

Please, note:

  • an IGES model is an IGES file that has been loaded into memory.
  • an IGES entity is an entity in the IGES normal sense.
  • a root entity is the highest level entity of any given type, e.g. type 144 for surfaces and type 186 for solids. Roots are not referenced by other entities.

For more details see IGES User's Guide.

See also: our web site at E-learning and Training.

STEP

STEP is more and more widely used to exchange data between various kinds of softwares, involved in CAD, PDM, Analysis, etc... STEP is far more than an "exchange standard" : it provides a technology and a set of methodologies to describe the data to exchange in a modular and upgradeable way. Regarding Open Cascade, this mostly applies to CAD data but it is not a limitation, other kinds of data for specific applications can be addressed too.

642_sh_08_400.png
Image imported from STEP

Open Cascade allows its users to employ STEP in the following domains:

  • Exchange of data for technical applications, following the state-of-the-art definitions and rules;
  • Extension of case coverage, according to specific needs or to the evolution of general business uses;
  • Expertise on data architecture of an application, to get experience from STEP definitions and make easier the mapping to them, for a better interoperability with outer world.

For more details see STEP User's Guide.

See also: our web site at E-learning and Training.

STEP Exchanges in Open Cascade technology

Beyond the upper level API, which is fitted for an easy end-use, the STEP exchange functions enter in the general frame of Exchanges in Open Cascade, adapted for STEP:

  • Specific packages for Data definition and checking;
  • Physical Access supported by Drivers (Part 21 file access is embedded);
  • Conversion to/from Open Cascade or applicative data supported by drivers (OCC-BREP and XDE ard basically provided);
  • Tools for analysis, filtering, etc... including DRAW commands.

These modules share common architecture and capabilities with other exchange modules of Open Cascade, like Shape Healing. Also, built-in Viewer and Converter (as Plugin for Netscape, Internet Explorer ..), are based on the same technology.

In addition, Open Cascade provides tools to process models described using STEP: to reflect EXPRESS descriptions, to read, write and check data, to analyze the whole models ... Their key features are:

  • Modularity by sets of data types, which can be hierarchized to reflect the original modularity describing the resources and application protocols;
  • Implementation as CDL/C++ classes, providing comprehensive access to their members;
  • Early binding is basically used, providing good performance, easy installation and use as well as the capability to support non-compiled descriptions.

This provides a natural way to deal with non-supported protocols when they share common definitions, as for geometry, which can then be exploited. The common frame, as the already supported data types, give a good foundation to go towards new uses of STEP, either on data definition (protocols from ISO or from industrial consortia) or on mapping with applicative data.

STEP Interface

The STEP interface reads STEP files produced in accordance with STEP Application Protocol 214 (Conformance Class 2 both CD and DIS versions of schema) and translates them to Open CASCADE Technology models. STEP Application Protocol 203 is also supported.

The STEP interface also translates OCCT models to STEP files. STEP files that are produced by this interface conform to STEP AP 203 or AP 214 (Conformance Class 2, either CD or DIS version of the schema) depending on the user's option.

Basic interface reads and writes geometrical, topological STEP data and assembly structures.

The interface is able to translate one entity, a group of entities or a whole file.

Other kinds of data such as colors, validation properties, layers, names and the structure of assemblies can be read or written with the help of XDE tools - STEPCAFControl_Reader and STEPCAFControl_Writer.

To choose a translation mode when exporting to a STEP format, use STEPControl_STEPModelType.

There is a set of parameters that concern the translation and can be set before the beginning of the translation.

Please, note:

  • a STEP model is a STEP file that has been loaded into memory;
  • all references to shapes indicate OCCT shapes unless otherwise explicitly stated;
  • a root entity is the highest level entity of any given type, i.e. an entity that is not referenced by any other one.

Usage of Shape Healing after import from STEP and IGES

Shape Healing toolkit provides tools to heal various problems which may be encountered in shapes, and to make them valid in Open CASCADE. The Shape Healing is smoothly connected to IGES and STEP translators: the same API as for Open CASCADE IGES and STEP translators is used, only the names of API packages change.

Here are a few examples of typical problems that can be encountered in real IGES and STEP files, with illustrations of how Shape Healing deals with them:

Face with missing seam edge

The problem: Face on a periodical surface is limited by wires which make a full trip around the surface. These wires are closed in 3d but not closed in parametric space of the surface. This is not valid in Open CASCADE. The solution: Advanced Shape Healing fixes this face by inserting seam edge which combines two open wires and thus closes the parametric space. Note that internal wires are processed correctly.

Wrong orientation of wires

The problem: Wires on face have incorrect orientation, so that interior and outer parts of the face are mixed. The solution: Advanced Shape Healing recovers correct orientation of wires.

Self-intersecting wire

The problem: Face is invalid because its boundary wire has self-intersection (on two adjacent edges) The solution: Advanced Shape Healing cuts intersecting edges at intersection points thus making boundary valid.

Lacking edge

The problem: There is a gap between two edges in the wire, so that wire is not closed The solution: Advanced Shape Healing closes a gap by inserting lacking edge.

Extended Data Exchange

The Extended Data Exchange (XDE) module allows extending the scope of exchange by translating additional data attached to geometric BREP data, thereby improving the interoperability with external software. Data types such as colors, layers, assembly descriptions and validation properties (i.e. center of gravity, etc.) are supported. These data are stored together with shapes in an XCAF document.

The basis of XDE, called XCAF, is a framework based on OCAF (Open CASCADE Application Framework) intended to work with assemblies and with various kinds of data (attributes) attached to shapes. The following types of data are currently supported :

  • assemblies;
  • validation properties;
  • names;
  • colors;
  • layers.

It is also possible to add a new types of data taking the existing tools as prototypes.

Finally, the XDE provides reader and writer tools for reading and writing the data supported by XCAF to and from IGES and STEP files.

646_xde_11_400.png
Shape imported using XDE

For more details see XDE User's Guide.

Here are some examples of IGES and STEP files with colors and other attributes read to XDE.

Assembly Structure

610_xde_01_400.png
Sample Assembly

XDE supports assemblies by separation the shape definition and its location. The shape itself is stored in OCAF as a simple shape object without location, and then assemblies are defined by specifying what shapes they have as components, and with what locations. This gives a flexibility to define and easily work with complex multi-level assemblies.

Validation Properties

Validation properties are quite a new feature of STEP standard, currently being actively tested by CAX-IF organization and implemented in commercial STEP translators.

Validation properties are geometric characteristics of shapes (volume, centroid, surface area) which can be put to the STEP file by the sending system. These data should be used by the receiving system in order to validate quality of translation (by comparing these values computed by original system with the same values computed by receiving system on resulting model).

Extended Data Exchange supports both reading and writing validation properties, and provides some tool to check them.

Names

614_xde_04_400.png
Instance Names

XDE supports reading and writing names of shapes to and from both IGES and STEP formats. This functionality can be switched off in case of need (if these data are not needed, thus avoiding unnecessary information in the document).

Colors and Layers

239_xde_12_400.png
Motor Head

XDE can read and write colors and layers assigned to shapes or their subparts (down to level of faces and edges) to and from both IGES and STEP formats.

Application Framework

Open CASCADE Application Framework (OCAF) provides a solution for handling of Application Data, based on the Application/Document paradigm. It uses an associativity engine to simplify the development of a CAD application due to the following features:

  • Data Attributes that provide management of application data. Attributes may be organized according to the development needs;
  • Data storage and Persistence services;
  • Possibility to modify and recompute documents
  • Possibility to manage multiple documents;
  • Ready-to-use modeling data attributes common to CAD/CAM applications;
  • Ready-to-use Undo-Redo and Copy-Paste functions.

Since OCAF handles your application structure, your only major development task is the creation of application-specific data and GUIs. It is the organization of application data due to which OCAF differs from any other CAD framework. In OCAF, data structures are not shape-driven, but reference-key driven.

Thus, the attributes, such as shape data, color and material, are attached to a deeper invariant structure of a model than the shapes themselves. OCAF organizes and embeds these attributes in a document.

For example, a geometry becomes the value of Shape attribute, in the same way as a number is the value of Integer attribute and a string is the value of Name attribute. OCAF documents are in their turn managed by an OCAF application.

For more details see OCAF User's Guide and the OCAF white papers:

See also: our web site at E-learning and Training.

How to start working with OCAF

To create a useful OCAF-based application, it is necessary to redefine two deferred methods: Formats and ResourcesName

In the Formats method, add the format of the documents, which need to be read by the application and may have been built in other applications.

For example:

void myApplication::Formats(TColStd_SequenceOfExtendedString& Formats)
{
Formats.Append(TCollection_ExtendedString ("OCAF-myApplication"));
}

In the ResourcesName method, you only define the name of the resource file. This file contains several definitions for the saving and opening mechanisms associated with each format and calling of the plug-in file.

Standard_CString myApplication::ResourcesName()
{
return Standard_CString ("Resources");
}

To obtain the saving and opening mechanisms, it is necessary to set two environment variables: CSF_PluginDefaults, which defines the path of the plug-in file, and CSF_ResourcesDefault, which defines the resource file:

SetEnvironmentVariable ( "CSF_ResourcesDefaults",myDirectory);
SetEnvironmentVariable ( "CSF_PluginDefaults",myDirectory);

The plugin and the resource files of the application will be located in myDirector. The name of the plugin file must be Plugin.

Resource File

The resource file describes the documents (type and extension) and the type of data that the application can manipulate by identifying the storage and retrieval drivers appropriate for this data.

Each driver is unique and identified by a GUID generated, for example, with the uuidgen tool in Windows.

Five drivers are required to use all standard attributes provided within OCAF:

  • the schema driver (ad696002-5b34-11d1-b5ba-00a0c9064368)
  • the document storage driver (ad696000-5b34-11d1-b5ba-00a0c9064368)
  • the document retrieval driver (ad696001-5b34-11d1-b5ba-00a0c9064368)
  • the attribute storage driver (47b0b826-d931-11d1-b5da-00a0c9064368)
  • the attribute retrieval driver (47b0b827-d931-11d1-b5da-00a0c9064368)

These drivers are provided as plug-ins and are located in the PappStdPlugin library.

For example, this is a resource file, which declares a new model document OCAF-MyApplication:

formatlist:OCAF-MyApplication
OCAF-MyApplication.Description: MyApplication Document Version 1.0
OCAF-MyApplication.FileExtension: sta
OCAF-MyApplication.StoragePlugin: ad696000-5b34-11d1-b5ba-00a0c9064368
OCAF-MyApplication.RetrievalPlugin: ad696001-5b34-11d1-b5ba-00a0c9064368
OCAF-MyApplicationSchema: ad696002-5b34-11d1-b5ba-00a0c9064368
OCAF-MyApplication.AttributeStoragePlugin: 47b0b826-d931-11d1-b5da-00a0c9064368
OCAF-MyApplication.AttributeRetrievalPlugin: 47b0b827-d931-11d1-b5da-00a0c9064368

Plugin File

The plugin file describes the list of required plug-ins to run the application and the libraries in which plug-ins are located.

You need at least the FWOSPlugin and the plug-in drivers to run an OCAF application.

The syntax of each item is Identification.Location Library_Name, where:

  • Identification is GUID.
  • Location defines the location of the Identification (where its definition is found).
  • Library_Name is the name (and path to) the library, where the plug-in is located.

For example, this is a Plugin file:

a148e300-5740-11d1-a904-080036aaa103.Location: FWOSPlugin
! base document drivers plugin
ad696000-5b34-11d1-b5ba-00a0c9064368.Location: PAppStdPlugin
ad696001-5b34-11d1-b5ba-00a0c9064368.Location: PAppStdPlugin
ad696002-5b34-11d1-b5ba-00a0c9064368.Location: PAppStdPlugin
47b0b826-d931-11d1-b5da-00a0c9064368.Location: PAppStdPlugin
47b0b827-d931-11d1-b5da-00a0c9064368.Location: PAppStdPlugin

Data Attributes

The following ready-to-use attributes are provided:

  • Shape attributes, which contain shapes and their evolution
  • Standard attributes, a collection of common CAD/CAM attributes including:
    • Real
    • Integer
    • Name
    • Constrain
  • Visualization attributes implement the Application Interactive Services in the context of Open CASCADE Application Framework.
  • Function attributes which regenerate any data affected by modifications made in a document

Shape Attributes

A topological attribute can be seen as a hook into the topological structure. To this hook, data can be attached and references defined.

It is used for keeping and access to topological objects and their evolution. All topological objects are stored in the one user-protected TNaming_UsedShapes attribute at the root label of the data framework. This attribute contains map with all topological shapes, used in this document.

TNaming_NamedShape attribute can be added to any other attribute. This attribute contains references (hooks) to shapes from the TNaming_UsedShapes attribute and evolution of these shapes. TNaming_NamedShape attribute contains a set of pairs of hooks: old shape and new shape (see the figure below). It allows not only get the topological shapes by the labels, but also trace evolution of the shapes and correctly resolve dependent shapes by the changed one.

If a shape is newly created, the old shape for the corresponding named shape is an empty shape. If a shape is deleted, then the new shape in this named shape is empty.

technical_overview_shapeattrib.png

Shape attributes in data framework.

Algorithms can dispose sub-shapes of the result shape at the individual label depending on necessity:

  • If a sub-shape must have some extra attributes (material of each face or color of each edge). In this case a specific sub-shape is placed to the separate label (usually, sub-label of the result shape label) with all attributes of this sub-shape.
  • If topological naming is needed, a necessary and sufficient (for selected sub-shapes identification) set of sub-shapes is placed to the child labels of the result shape label. As usual, as far as basic solids and closed shells are concerned, all faces of the shape are disposed. Edges and vertices sub-shapes can be identified as intersection of contiguous faces. Modified/generated shapes may be placed to one named shape and identified as this named shape and source named shape that also can be identified with used algorithms.

TNaming_NamedShape may contain a few pairs of hooks with the same evolution. In this case topology shape, which belongs to the named shape, is a compound of new shapes.

The data model contains both the topology and the hooks, and functions handle both topological entities and hooks. Consider the case of a box function, which creates a solid with six faces and six hooks. Each hook is attached to a face. If you want, you can also have this function create hooks for edges and vertices as well as for faces.

Not all functions can define explicit hooks for all topological entities they create, but all topological entities can be turned into hooks when necessary. This is where topological naming is necessary.

Consider the following example. A box defines six hooks for the six faces, but a protrusion created on a face of the box can only define two hooks, one for the top face, and one for all the lateral faces. As the basic wire defining the protrusion may change in the future the protrusion function cannot designate the lateral faces without ambiguity, their number may change. Figure 6 illustrates this example, faces F1 to F6 of the box each have a hook. Faces F7 to F10, the lateral faces of the protrusion, share a single hook, and face F11, the top face, has one hook.

technical_overview_occ_0068.png

This structure raises two problems:

  • the value of the face F6 attribute-hook has changed;
  • no data can be attached to F7.

When a hook designates multiple faces like F7-F10 (or the hook on F6 if F6 was split) it is impossible to attach data to an individual face like F7.

In fact, the protrusion has a trimmed face F6. As a result, the value of this face has changed and the current value of the hook attached to it needs to be found. Note that this face could have been split in two faces (for example if the function had been a slot) and both new faces would have been attached to the same hook.

Standard Attributes

Standard attributes are already existing ready-to-use attributes, which allow you to create and modify labels and attributes for many basic data types.

To find an attribute attached to a specific label, you use the GUID of the type of attribute you are looking for. For this, find this information using the method GetID and the method Find for the label as follows:

Standard_GUID anID = MyAttributeClass::GetID();
Standard_Boolean HasAttribute = aLabel.Find(anID,anAttribute);

Function Attributes

A model consists of data and algorithms manipulating with data. OCAF attributes store data. A Function attribute stores data corresponding to a Function (see the white paper Application Framework Function Mechanism). This mechanism manipulates with algorithms computing the model in the optimal way following the modifications.

Persistent Data Storage

There are three schemes of persistence, which you can use to store and retrieve OCAF data (documents):

  • Standard persistence schema, compatible with previous OCAF applications
  • XmlOcaf persistence, allowing the storage of all OCAF data in XML form
  • BinOcaf persistence, allowing the storage of all OCAF data in binary format form

All schemes are independent of each other, but they guarantee that the standard OCAF attributes stored and retrieved by one schema will be storable and retrievable by the other. Therefore in any OCAF application you can use any persistence schema or even all three of them. The choice is made by the Format string of stored OCAF documents or automatically by the file header data - * on retrieval.

Persistent data storage in OCAF using the Standard package is presented in:

  • Basic Data Storage
  • Persistent Collections

Persistent storage of shapes is presented in the following chapters:

  • Persistent Geometry
  • Persistent Topology

Finally, information about opening and saving persistent data is presented in Standard Documents.

Basic Data Storage

Normally, all data structures provided by Open CASCADE Technology are run-time structures, in other words, transient data. As transient data, they exist only while an application is running and are not stored permanently. However, the Data Storage module provides resources, which enable an application to store data on disk as persistent data.

Data storage services also provide libraries of persistent classes and translation functions needed to translate data from transient to persistent state and vice-versa.

Libraries of persistent classes

Libraries of persistent classes are extensible libraries of elementary classes you use to define the database schema of your application. They include:

  • Unicode (8-bit or 16-bit character type) strings
  • Collections of any kind of persistent data such as arrays.

All persistent classes are derived from the Persistent base class, which defines a unique way of creating and handling persistent objects. You create new persistent classes by inheriting from this base class.

Translation Functions

Translation functions allow you to convert persistent objects to transient ones and vice-versa. These translation functions are used to build Storage and Retrieval drivers of an application.

For each class of 2D and 3D geometric types, and for the general shape class in the topological data structure library, there are corresponding persistent class libraries, which allow you to translate your data with ease.

Creation of Persistent Classes

If you use Unix platforms as well as WOK and CDL, you can create your own persistent classes. In this case, data storage is achieved by implementing Storage and Retrieval drivers.

The Storage package is used to write and read persistent objects. These objects are read and written by a retrieval or storage algorithm ( Storage_Schema object) in a container (disk, memory, network ...). Drivers ( FSD_File objects) assign a physical container for data to be stored or retrieved.

The standard procedure for an application in reading a container is as follows:

  • open the driver in reading mode,
  • call the Read function from the schema, setting the driver as a parameter. This function returns an instance of the Storage_Data class which contains the data being read,
  • close the driver.

The standard procedure for an application in writing a container is as follows:

  • open the driver in writing mode,
  • create an instance of the Storage_Data class, then add the persistent data to write with the function AddRoot,
  • call the function Write from the schema, setting the driver and the Storage_Data instance as parameters,
  • close the driver.

Persistent Collections

Persistent collections are classes which handle dynamically sized collections of data that can be stored in the database. These collections provide three categories of service:

  • persistent strings,
  • generic arrays of data,
  • commonly used instantiations of arrays.

Persistent strings are concrete classes that handle sequences of characters based on both ASCII (normal 8-bit) and Unicode (16-bit) character sets.

Arrays are generic classes, that is, they can hold a variety of objects not necessarily inheriting from a unique root class. These arrays can be instantiated with any kind of storable or persistent object, and then inserted into the persistent data model of a user application.

The purpose of these data collections is simply to convert transient data into its persistent equivalent so that it can be stored in the database. To this end, the collections are used to create the persistent data model and assure the link with the database. They do not provide editing or query capabilities because it is more efficient, within the operative data model of the application, to work with transient data structures (from the TCollection package).

For this reason:

  • the persistent strings only provide constructors and functions to convert between transient and persistent strings, and
  • the persistent data collections are limited to arrays. In other words, PCollection does not include sequences, lists, and so on (unlike TCollection).

Persistent string and array classes are found in the PCollection package. In addition, PColStd package provides standard, and frequently used, instantiations of persistent arrays, for very simple objects.

Persistent Geometry

The Persistent Geometry component describes geometric data structures which can be stored in the database. These packages provide a way to convert data from the transient "world" to the persistent "world".

Persistent Geometry consists of a set of atomic data models parallel to the geometric data structures described in the geometry packages. Geometric data models, independent of each other, can appear within the data model of any application. The system provides the means to convert each atomic transient data model into a persistent one, but it does not provide a way for these data models to share data.

Consequently, you can create a data model using these components, store data in, and retrieve it from a file or a database, using the geometric components provided in the transient and persistent "worlds". In other words, you customize the system by declaring your own objects, and the conversion of the geometric components from persistent to transient and vice versa is automatically managed for you by the system.

However, these simple objects cannot be shared within a more complex data model. To allow data to be shared, you must provide additional tools.

Persistent Geometry is provided by several packages.

The PGeom package describes geometric persistent objects in 3D space, such as points, vectors, positioning systems, curves and surfaces.

These objects are persistent versions of those provided by the Geom package: for each type of transient object provided by Geom there is a corresponding type of persistent object in the PGeom package. In particular the inheritance structure is parallel.

However the PGeom package does not provide any functions to construct, edit or access the persistent objects. Instead the objects are manipulated as follows:

  • Persistent objects are constructed by converting the equivalent transient Geom objects. To do this you use the MgtGeom::Translate function.
  • Persistent objects created in this way are used to build persistent data structures that are then stored in a file or database.
  • When these objects are retrieved from the file or database, they are converted back into the corresponding transient objects from the Geom package. To do this, you use MgtGeom::Translate function.

In other words, you always edit or query transient data structures within the transient data model supplied by the session. Consequently, the documentation for the PGeom package consists simply of a list of available objects.

The PGeom2d package describes persistent geometric objects in 2D space, such as points, vectors, positioning systems and curves. This package provides the same type of services as the PGeom package, but for the 2D geometric objects provided by the Geom2d package. Conversions are provided by the MgtGeom::Translate function.

//Create a coordinate system
//Create a persistent coordinate PTopoDS_HShape.cdlsystem
Handle(PGeom_Axis2placement)
aPSys = MgtGeom::Translate(aSys);
//Restore a transient coordinate system
Handle(PGeom_Axis2Placement) aPSys;
aSys = MgtGeom::Translate(aPSys);

Persistent Topology

The Persistent Topology component describes topological data structures which can be stored in the database. These packages provide a way to convert data from the transient "world" to the persistent "world".

Persistent Topology is based on the BRep concrete data model provided by the topology packages. Unlike the components of the Persistent Geometry package, topological components can be fully shared within a single model, as well as between several models.

Each topological component is considered to be a shape: a TopoDS_Shape object. The system's capacity to convert a transient shape into a persistent shape and vice-versa applies to all objects, irrespective of their complexity: vertex, edge, wire, face, shell, solid, and so on.

When a user creates a data model using BRep shapes, he uses the conversion functions that the system provides to store the data in, and retrieve it from the database. The data can also be shared.

Persistent Topology is provided by several packages.

The PTopoDS package describes the persistent data model associated with any BRep shape; it is the persistent version of any shape of type TopoDS_Shape. As is the case for persistent geometric models, this data structure is never edited or queried, it is simply stored in or retrieved from the database. It is created or converted by the MgtBRep::Translate function.

The MgtBRepAbs and PTColStd packages provide tools used by the conversion functions of topological objects.

//Create a shape
TopoDS_Shape aShape;
//Create a persistent shape
PtColStd_DoubleTransientPersistentMap aMap;
aMap.Bind2(MgtBRep::Translate
aShape,aMap,MgtBRepAbs_WithTriangle));
aPShape.Nullify();
//Restore a transient shape
Handle(PTopoDS_HShape) aPShape;
Handle(TopoDS_HShape) aShape =
aMap.Bind1(MgtBRep::Translate
(aPShape,aMap,MgtBRepAbs_WithTriangle));
aShape.Nullify();

Standard Documents

Standard documents offer you a ready-to-use document containing a TDF-based data structure. The documents themselves are contained in a class inheriting from TDocStd_Application which manages creation, storage and retrieval of documents.

You can implement undo and redo in your document, and refer from the data framework of one document to that of another one. This is done by means of external link attributes, which store the path and the entry of external links. To sum up, standard documents alone provide access to the data framework. They also allow you to: *Update external links; *Manage the saving and opening of data; *Manage undo/redo functionality.

Draw Test Harness

The Open CASCADE Test Harness, also called Draw, is an easy-to-use testing tool for the geometric modeling libraries. It can be used to test and demonstrate modeling components before building an entire application. It includes:

  • A command interpreter based on the TCL language;
  • A 2D and a 3D viewer based on X on Unix and Win32 API on Windows;
  • A set of predefined commands.

The Test Harness is a single program written in C++, which can be called from interpreted commands. Predefined commands provide general-purpose services such as:

  • Getting help;
  • Evaluating a script from a file;
  • Capturing commands in a file;
  • Managing views;
  • Displaying objects.

The viewers support operations such as zoom, pan, rotation and full-screen views.

The Test Harness also provides geometric commands to create and manipulate curves and surfaces, and topological commands to create and manipulate shapes. Geometric and topological commands implement geometry and topology resources, and provide examples of their use.

You can add new test harness commands to Draw in order to test or demonstrate a new functionality which you develop.

For more details see Draw Test Harness Manual.

FAQ

Memory Management

In a work-session, geometry modeling applications create and delete a certain number of C++ objects. In this context, memory allocation and de-allocation standard functions are not suited to the system's requirements and for this reason a specialized Memory Manager is implemented into Open CASCADE Technology. The Memory Manager is based on the following principles:

  • small memory arrays are grouped into clusters and then recycled (clusters are never released to the system),
  • large arrays are allocated and de-allocated through the standard functions of the system (the arrays are released to system when they are no longer used).

The Reference Counter

To lighten usual programming difficulties linked to the management of object life duration, before deleting an object, the user must ensure the object is no longer referenced and the delete function is secured by a reference counter. A smart-pointer called Handle automates reference counter management and automatically deletes an object when it is no longer referenced. The application never calls the delete operator explicitly. To benefit from the memory manager in OCCT, transient classes must inherit from TShared. The principle of allocation is as follows:

// H1 has one reference and corresponds to 48 bytes of memory
{
Handle (TColStd_HSequenceOfInteger) H2;
H2 = H1; // H1 has two references
if (argc == 3)
{
Handle (TColStd_HSequenceOfInteger) H3;
H3 = H1;
// Here, H1 has three references
}
// Here, H1 has two references
}
// Here, H1 has 1 reference
}
// Here, H1 has no reference but the 48 bytes of memory are kept.
Handle (TColStd_HSequenceOfInteger) H1 = new TColStd_HSequenceOfInteger;
// Here, H1 has one reference and corresponds to the preceding 48 bytes of
// memory. In this case, there is no allocation of memory.

Cycles

As cycles are objects which reference one another, memory management is impossible if the data structure contains any cycles, particularly if there are back references.

For example, objects in a graph include primitives and each one of these primitives has to know the graphic object to which it belongs (i.e. a reference to this graphic object). With normal references, the classical handle is used. With back references, a pointer is used.

Memory Consumption

As a general rule, it is advisable to allocate memory through significant blocks. In this way, the user can work with blocks of contiguous data and it facilitates memory page manager processing.

How to define a handled object without CDL

You can create a class manipulated by handle even if you do not use CDL (Open CASCADE Definition Language). To do that you have to use the Define_Standard_Handle macro which is defined in the include file Standard_DefineHandle.hxx.

Here is an example which shows how to define a class SamplePoint manipulated by handle.

Sample_Point.hxx:

#ifndef _Sample_Point_HeaderFile
#define _Sample_Point_HeaderFile
#ifndef _Standard_Macro_HeaderFile
#endif
#include <MMgt_TShared.hxx>
// Handle definition
//
class Sample_Point: public MMgt_TShared {
public:
Sample_Point();
Sample_Point(const Standard_Real, const
void SetX(const Standard_Real x) {
myX = x;
}
void SetY(const Standard_Real y) {
myY = y;
}
Standard_Real X() const {
return myX;
}
Standard_Real Y() const {
return myY;
}
// some methods like DynamicType() or
IsKind()
//
DEFINE_STANDARD_RTTI(Sample_Point)
private:
};
#endif

Sample_Point.cxx:

#include <Sample_Point.hxx>
// Implementation of Handle and type mgt
IMPLEMENT_STANDARD_HANDLE(Sample_Point,MMgt_TShared)
IMPLEMENT_STANDARD_RTTI(Sample_Point,MMgt_TShared)
// For ancestors, we add a IMPLEMENT_STANDARD_SUPERTYPE and
// a IMPLEMENT_STANDARD_SUPERTYPE_ARRAY_ENTRY macro.
// We must respect the order: from the direct ancestor class to the base class.
IMPLEMENT_STANDARD_TYPE(Sample_Point)
IMPLEMENT_STANDARD_SUPERTYPE(MMgt_TShared)
IMPLEMENT_STANDARD_SUPERTYPE(Standard_Transient)
IMPLEMENT_STANDARD_SUPERTYPE_ARRAY()
IMPLEMENT_STANDARD_SUPERTYPE_ARRAY_ENTRY(MMgt_TShared)
IMPLEMENT_STANDARD_SUPERTYPE_ARRAY_ENTRY(Standard_Transient)
IMPLEMENT_STANDARD_SUPERTYPE_ARRAY_END()
IMPLEMENT_STANDARD_TYPE_END(Sample_Point)
// Constructors implementation
Sample_Point::Sample_Point(const
{
myX = x;
myY = y;
}
Sample_Point::Sample_Point()
{
myX = 0.0;
myY = 0.0;
}

When is it necessary to use a handle?

When designing an object, the user is faced with the choice of manipulating that object by value, or by handle.

  • If your object may have a long lifetime within the application and you want to make multiple references to it, it would be preferable to manipulate this object with a handle. The memory for the object will be allocated on the heap. The handle which points to that memory is a light object which can be rapidly passed in argument. This avoids the penalty of copying a large object.
  • If your object will have a limited lifetime, for example, used within a single algorithm, it would be preferable to manipulate this object by value, non-regarding its size, because this object is allocated on the stack and the allocation and de-allocation of memory is extremely rapid, which avoids the implicit calls to 'new' and 'delete' occasioned by allocation on the heap.
  • Finally, if an object will be created only once during, but will exist throughout the lifetime of the application, the best choice may be a class manipulated by handle or a value declared as a global variable.

How to cast shape handle to void

You can easily cast a reference to the handle object to void* by defining the following:

void *pointer;
Handle(Some_class) aHandle;
// Here only a pointer will be copied
Pointer = &aHandle;
// Here the Handle object will be copied
aHandle = * (Handle(Some_Class) *)pointer;

How to test correct ending of OCCT algorithms

Generally OCCT algorithms implement IsDone method, which returns true if computation has been performed successfully from beginning to end or false if computation has failed.

When IsDone returns true, the computation is successful regarding to the input data, but it does not necessary mean that you get a result. For example, if you perform a cut algorithm between two shapes without any common part, the IsDone method will return true, but the result will be empty.

So, in some cases, it can be necessary to analyse the structure of a result before using it again in following computations. These tests are not done systematically into algorithms to get faster computations. The application performs necessary tests depending on the context.

How to cut, copy and paste inside a document

To cut, copy and paste inside a document, you must use the CopyLabel class from the TDF package. In fact, you must define a Label which contains the temporary value a cut or copy operation (say, in Lab_Clipboard). You must also define two other labels:

  • One containing the data (e.g. Lab_source)
  • One for the destination of the copy (e.g. Lab_ Target )
Copy = copy (Lab_Source => Lab_Clipboard)
Cut = copy + Lab_Source.ForgetAll() // command clear the contents of LabelSource.
Paste = copy (Lab_Clipboard => Lab_target)

So we need a tool to copy all (or a part) of the content of a label and its sub-label, to another place defined by a label.

TDF_IDFilter aFilter (Standard_False);
//Don't copy TDataStd_TreeNode attribute
aCopy.Load(aSource, aTarget); aCopy.UseFilter(aFilter); aCopy.Perform();
// copy the data structure to clipboard
return aCopy.IsDone(); }

The filter is used to forbid copying a specified type of attribute. You can also have a look at *TDF_Closure**, which can be useful to determine the dependencies of the part you want to cut from the document.

Platform-related problems

Dynamic library loading

Open CASCADE Technology uses a dynamic library loading mode. Sometimes, the error message such as the following appears:

"cannot map libname.so .. under any of the filenames .."

When this happens, check your PATH under Windows, LD_LIBRARY_PATH under UNIX, or DYLD_LIBRARY_PATH under Mac OS X. It should contain the path where the required dynamic library is located.

Running Draw under Windows

When running DRAWEXE and using axo in the Command window you may see the "Invalid command name "axo" " message :

Make sure that the OCCT directory name does not contain any blank spaces. It causes some problems when reading the OCCT description TCL Commands files. If you have set DRAWHOME and DRAWDEFAULT, replace \ by / in the variable.

Error on application start on Windows

If Windows shows an error message with the text Application failed to initialize properly upon launching the application, check access rights for all libraries used in the application, in particular, third-party libraries.

Make sure that you have all rights necessary to access these libraries. It is recommended to use option Inherit access rights from parent.

Problems with 3D viewer

If the 3D viewer fails to display the scene properly, or works very slowly, or exhibits another problem, make sure to have the latest version of the graphics card driver installed. If this is not possible or does not help, try to decrease hardware acceleration level (usually found in Troubleshooting section of the graphics card properties).